Fred Hebert
@ferd.ca
1.7K followers 170 following 300 posts
Staff SRE @ honeycomb.io, Tech Book Author, Resilience in Software Foundation board member, Erlang Ecosystem Foundation co-founder, Resilience Engineering fan. SRE-not-sorry. blog: https://ferd.ca notes: https://ferd.ca/notes/
Posts Media Videos Starter Packs
Pinned
ferd.ca
Fred Hebert @ferd.ca · Mar 17
People tend to have a mental model where a system is stable until disturbed, far more often than they have one where the system is balanced because it is constantly intervened with.

The latter is a more useful approach to thinking about complex systems.
ferd.ca
Washing all my synthetic fabric clothes, putting them in the dryer, and eating a spoonful of whatever is in the lint filter.

You gotta do what you gotta do to maintain brain plasticity and adapt to all of them products rolling out workflow changes and dark patterns.

Helps deal with the news too.
ferd.ca
Time to demonstrate the power of bus-based transit
ferd.ca
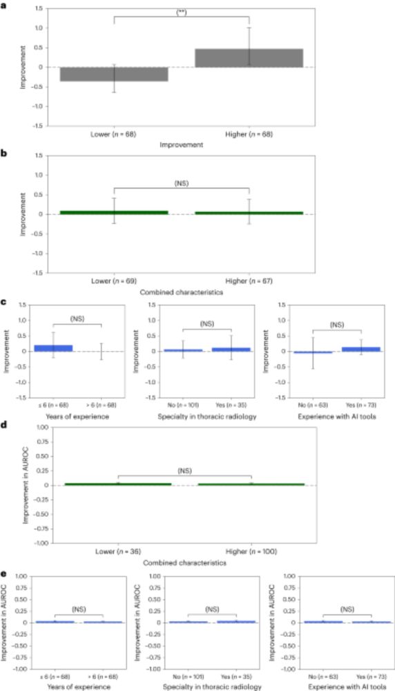
Radiology is a specialty that was long promised to be automated via ML, but that still persists today. There are fascinating studies on AI/human joint performance around it.

I appreciate this article, and the distinction between benchmarks settings and the more situated nature of real work.
ferd.ca
The rebar3 -> rebar4 kickstarter ends in a few hours!

Late pledges stay open, but rewards (T-shirt, mug, stickers) disappear with the campaign.

We're seeking a more sustainable future for #Erlang build tools, and this campaign helps support this goal: www.kickstarter.com/projects/pee...
From Rebar3 to Rebar4: Integrating with Erlang/OTP
Building on top of Rebar3 to Fully Integrate with Erlang/OTP for All BEAM Languages, creating Rebar4 the next generation build tool.
www.kickstarter.com
Reposted by Fred Hebert
hillelwayne.com
I was doing some software history research and stumbled on this absolutely FASCINATING letter from 1964: dl.acm.org/doi/10.1145/...

Some random defense contractor writes in to say "You should deliver a minimal prototype as fast as possible to get feedback and involve users at every stage of labor"
Some observations concerning large programming efforts | Proceedings of the April 21-23, 1964, spring joint computer conference
dl.acm.org
ferd.ca
This analogy was in my head for months and I had to write about it. Treating incidents as "fix it and move on" is a losing proposition. It's more useful to see them as emergent outcomes of all the tradeoffs we make, and to use them as "landmarks" to orient ourselves in a solution space.
Ongoing Tradeoffs, and Incidents as Landmarks
Think of incidents as landmarks when finding your way. The tradeoffs you make can inform the type of incidents you get, and they in turn let you evaluate how you balance priorities and goal conflicts.
ferd.ca
ferd.ca
This of course ignores everything that is not automation driven but seen as core work, so the parallel above is clearly incomplete.
ferd.ca
Maybe there’s a connection to the leftover principle.

Tasks labelled “toil” in the context of automation could be those too infrequent/complex/unpredictable/unprofitable to be worth automating.

For these, you’d fall back to human-driven work, regardless of how the worker values them.
ferd.ca
New SRE team swag is in
A t-shirt showing a pile of tires on fire, saying in large typeface: “fight fire with tire”, with a small byline below saying “SRE: fixing software with more software since January 1st 1970”

There are also 3 round stickers:

1. A bus labelled “SRE” dumping shit off a bridge onto a boat (in reference to the Dave Matthew’s bus tour incident), framed with text saying “Shitposting Reliability Engineering”

2. A bee on fire framed with text saying “honeycomb on-call incident commander”

3. A computer on fire with multiple bees flying around framed with text saying “honeycomb on-call incident responder”
ferd.ca
Someone shared the idea of process knowledge (pluralistic.net/2025/09/08/p...); feels relevant:

> People who own the instructions are constitutionally prone to assuming that making the recipe is the important part, while following the recipe is donkey-work you can assign to any freestanding oaf […]
Reposted by Fred Hebert
courtneynash.bsky.social
Software incidents are painful, and we're trying to help change that. If you deal with incidents in your work, please help us help you!

Take the survey here: www.thevoid.community/survey
VOID Survey
The VOID is a community-contributed collection of software-related incident reports.
www.thevoid.community
ferd.ca
Fred Hebert @ferd.ca · Sep 10
I'd need to grab a copy.

Funnily, I'm currently reading Foucault's Punitive Society which has relevant arguments around the coupling of power to knowledge and their definitions. Someone also shared the concept of process knowledge (pluralistic.net/2025/09/08/p...) which seems connected to it too.
ferd.ca
Fred Hebert @ferd.ca · Sep 10
I also question whether the accountability sinks must actually default to harming the public while protecting the corporation rather than the opposite. If sinks must be present, there’s little in the analysis mandating they bias the way they do.
ferd.ca
Fred Hebert @ferd.ca · Sep 10
Yeah IMO there’s still a sort of narrowness in the analysis that shows up at the end in that they recommend one fix based on debt that would be adequate and the author just shrugs it off. I ended up summarizing/criticizing at ferd.ca/notes/davies...
Davies on The Unaccountability Machine
ferd.ca
ferd.ca
Fred Hebert @ferd.ca · Sep 10
Dan Davies’ The Unaccountability Machine is a whole book on the topic, though it makes a broader argument on organizations as a whole already displaying these patterns, and having a bit of a weaker last chapter on recommendations.
Reposted by Fred Hebert
theerlef.bsky.social
Proud to back the Rebar4 Kickstarter — moving the BEAM ecosystem forward with the community. 🙌
mariajosegavilan.bsky.social
Thanks to the @theerlef.bsky.social (EEF) for a €1,750 contribution to our Rebar4 Kickstarter. It moves us closer to funding work to prepare for OTP integration and cut external deps.
Back: www.kickstarter.com/projects/pee...
ferd.ca
Fred Hebert @ferd.ca · Aug 30
That’s generally true of all top priorities though. There’s a reason goal conflict is such a key theme.
ferd.ca
Fred Hebert @ferd.ca · Aug 30
It also locks us down into a substitution model rather than a joint collaborative one.
ferd.ca
Fred Hebert @ferd.ca · Aug 30
I think brain-as-computer analogy is showing its limits though. I like this quote by Hutchins on it, about how the framing obscures how situated and distributed cognition is: ferd.ca/notes/hutchi...:
Hutchins' Distributed Cognition in The Wild
ferd.ca
ferd.ca
Fred Hebert @ferd.ca · Aug 30
I also find the opposite interesting, where people will use the brain-as-computer analogy to go “maybe I’m also just a stochastic model too” (which was also a thing with old timey behaviorism and automata reacting to stimuli) and prop up the tech by minimizing themselves.
ferd.ca
Fred Hebert @ferd.ca · Aug 28
Never read any. Dude seemed to have good reviews.
ferd.ca
Fred Hebert @ferd.ca · Aug 28
‘helm’ has a levenshtein distance of 1 from both ‘help’ and ‘hell’ and I think that’s on purpose
ferd.ca
Fred Hebert @ferd.ca · Aug 26
Fred's rule about posting:

You can either write long, contextually rich texts that are unambiguous but also won't be read much because they're too long, or shorter but engaging texts that are going to be interpreted in ways you disagree with, and there's no middle ground.
ferd.ca
Fred Hebert @ferd.ca · Aug 26
"Behavioural science is unlikely to change the world without a heterogeneity revolution" is this week's paper, arguing that if we stopped chasing main effects and considered diverse context-dependent dynamics as the norm, policy research could get better models.

Notes at: ferd.ca/notes/paper-...
(PDF) Behavioural science is unlikely to change the world without a heterogeneity revolution
PDF | In the past decade, behavioural science has gained influence in policymaking but suffered a crisis of confidence in the replicability of its... | Find, read and cite all the research you need on...
www.researchgate.net