Manuel Joffre
@manueljoffre.bsky.social
53 followers 73 following 3 posts
Scientist at @laboptbio.bsky.social @cnrs.bsky.social https://lob.ip-paris.fr/manuel-joffre https://www.quantum-physics.polytechnique.fr/
Posts Media Videos Starter Packs
Reposted by Manuel Joffre
ebeaurepaire.bsky.social
Un poste d’ingénieur en analyse d’images est ouvert en mobilité pour rejoindre @laboptbio.bsky.social à @polytechniqueparis.bsky.social (Palaiseau). Poste IR ouvert aux IE de la fonction publique et IR @cnrs.bsky.social. Deadline: 20/02. Lien (concours 508): profilsdemplois.cnrs.fr/ords/afipprd...
manueljoffre.bsky.social
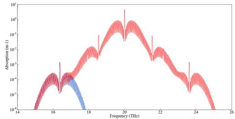
This unique spectral shape is at the origin of the well-known logarithmic dependence of radiative forcing on CO₂ concentration in the atmosphere. The CO₂ absorption spectrum was the subject of the latest advanced quantum physics exam at Ecole Polytechnique.
manueljoffre.bsky.social
New applet on Quantum Physics Online illustrating how the triangular shape of the CO₂ absorption spectrum arises from a resonance first identified by Fermi in 1931.
www.quantum-physics.polytechnique.fr/co2.php?lang=1
Reposted by Manuel Joffre
scienceetonnante.com
Nouvelle vidéo ! 🧭 LE MAGNÉTISME EST UNE ILLUSION 🧲 On y montre que le magnétisme n’existe pas vraiment en tant que phénomène indépendant, mais découle naturellement des lois de l'électrostatique et de la relativité restreinte.

youtu.be/oW7eCCt0B4c
Vignette de la vidéo "Magnétisme et Relativité"
Reposted by Manuel Joffre