ACI - Applied Clinical Informatics Journal
@aci-journal.medsky.social
230 followers 310 following 190 posts
Applied Clinical Informatics (ACI), an official eJournal of the American Medical Informatics Association & International Medical Informatics Association, publishes peer-reviewed articles between clinical medicine and health IT specialists. #Medsky
Posts Media Videos Starter Packs
Reposted by ACI - Applied Clinical Informatics Journal
aci-journal.medsky.social
NEW: Performance Degradation between Development and Deployment of a Predictive Model for Central Line-Associated Bloodstream #Infections in Hospitalized Children www.thieme-connect.de/products/ejo...

#MedSky #PedSky #IDSky #CLABSI @evanorenstein.bsky.social
Figure showing the novel infrastructure for central line-associated bloodstream infection (CLABSI) model implementation
Reposted by ACI - Applied Clinical Informatics Journal
aci-journal.medsky.social
NEW: Information Prioritization and Reading Patterns in Electronic Health Record #Nursing Summaries: An Eye-Tracking Case Study www.thieme-connect.de/products/ejo...

#MedSky #DigitalHealth #usability
An example of eye-tracking data captured from one participant on one portion of the screen. Yellow dots indicate where gazes were captured. The size of the dots increases as the duration of the gaze at a specific location becomes longer. Data presented are simulated. Copyright 2025 Epic Systems Corporation.
Reposted by ACI - Applied Clinical Informatics Journal
aci-journal.medsky.social
NEW: Rethinking the Biohazardous Bodily Fluids Alert for Improved Workflow and Safety www.thieme-connect.de/products/ejo...

#MedSky #biohazard #hazmat
Figure showing the initial biohazardous disruptive alert. The disruptive alert was initially developed to notify relevant clinicians of the recent administration of a hazardous drug. Copyright 2024 Epic Systems Corporation.
Reposted by ACI - Applied Clinical Informatics Journal
aci-journal.medsky.social
NEW: Extracting Social Determinants of Health from #Dental Clinical Notes www.thieme-connect.de/products/ejo...

#MedSky #SDOH #HealthEquity
Flow of dataset to build an annotated corpus of 1,000 documents. From a set of 112,881 encounters, 1,000 were sampled for rule development and evaluation.
Reposted by ACI - Applied Clinical Informatics Journal
aci-journal.medsky.social
NEW: Perspectives of Spanish-Speaking #Caregivers on Pediatric #PatientPortal Use www.thieme-connect.de/products/ejo...

#MedSky #PedSky #DigitalHealth
Table of participant-reported characteristics
Reposted by ACI - Applied Clinical Informatics Journal
survivorshipit.medsky.social
#RuralHealth #HealthPolicy #PatientExperience
Reposted by ACI - Applied Clinical Informatics Journal
aci-journal.medsky.social
NEW: EHR Use in #Inpatient Physicians: Patterns and Predictors www.thieme-connect.de/products/ejo...

#MedSky #DigitalHealth
A figure showing a visual representation of outcome metrics by gender.
Reposted by ACI - Applied Clinical Informatics Journal
aci-journal.medsky.social
NEW: Choosing between Patient Care Needs and Accurate Data Capture: Exploring Nurses' Experiences of Excessive Documentation Burden www.thieme-connect.de/products/ejo...

#MedSky #Nursing @sarahrossetti.bsky.social
Table showing the alignment between recommendations and themes
aci-journal.medsky.social
NEW: Perspectives of Spanish-Speaking #Caregivers on Pediatric #PatientPortal Use www.thieme-connect.de/products/ejo...

#MedSky #PedSky #DigitalHealth
Table of participant-reported characteristics
aci-journal.medsky.social
NEW: Choosing between Patient Care Needs and Accurate Data Capture: Exploring Nurses' Experiences of Excessive Documentation Burden www.thieme-connect.de/products/ejo...

#MedSky #Nursing @sarahrossetti.bsky.social
Table showing the alignment between recommendations and themes
aci-journal.medsky.social
NEW: EHR Use in #Inpatient Physicians: Patterns and Predictors www.thieme-connect.de/products/ejo...

#MedSky #DigitalHealth
A figure showing a visual representation of outcome metrics by gender.
aci-journal.medsky.social
NEW: Extracting Social Determinants of Health from #Dental Clinical Notes www.thieme-connect.de/products/ejo...

#MedSky #SDOH #HealthEquity
Flow of dataset to build an annotated corpus of 1,000 documents. From a set of 112,881 encounters, 1,000 were sampled for rule development and evaluation.
aci-journal.medsky.social
NEW: Rethinking the Biohazardous Bodily Fluids Alert for Improved Workflow and Safety www.thieme-connect.de/products/ejo...

#MedSky #biohazard #hazmat
Figure showing the initial biohazardous disruptive alert. The disruptive alert was initially developed to notify relevant clinicians of the recent administration of a hazardous drug. Copyright 2024 Epic Systems Corporation.
aci-journal.medsky.social
NEW: Information Prioritization and Reading Patterns in Electronic Health Record #Nursing Summaries: An Eye-Tracking Case Study www.thieme-connect.de/products/ejo...

#MedSky #DigitalHealth #usability
An example of eye-tracking data captured from one participant on one portion of the screen. Yellow dots indicate where gazes were captured. The size of the dots increases as the duration of the gaze at a specific location becomes longer. Data presented are simulated. Copyright 2025 Epic Systems Corporation.
Reposted by ACI - Applied Clinical Informatics Journal
aci-journal.medsky.social
NEW: “Everyone Has a Role in This”: Evaluating Organizational Readiness for a #Digital Solution to Support #Hypertension Care Teams and #Patients
www.thieme-connect.de/products/ejo...

#MedSky #HealthcareAdministration #DigitalHealth #BP
Figure displaying a prototype of the COACH clinical decision suport tool used during interviews with care team members. The interface provides a visual representation of a patient's blood pressure trends, recommendations for nonmedicinal therapy, and monitoring alerts.
Reposted by ACI - Applied Clinical Informatics Journal
aci-journal.medsky.social
NEW: Achieving #ACGME Clinical Informatics Fellowship #Accreditation: A Chronicle of Our Institution's Journey www.thieme-connect.de/products/ejo...

#MedSky #ClinicalInformatics @acgme.bsky.social @amia.org @culehmann.bsky.social
A block diagram showing the curriculum and rotations for both years of the proposed clinicial informatics fellowship program
Reposted by ACI - Applied Clinical Informatics Journal
aci-journal.medsky.social
NEW: Generative #ArtificialIntelligence Summaries to Facilitate #EmergencyDepartment Handoff
www.thieme-connect.de/products/ejo...

#MedSky #EDSky #AI #genAI
A swim-lane diagram of the providers-in-the-loop AI handoff workflow. The blue line illustrates routine ED admission steps. The green line shows that the quality improvement team flags eligible cases, extracts EHR data, and generates the AI summary. The purple line shows that an Emergency Department treatment team member reviews the summary, submits a brief survey, and decides what (if anything) to include in the verbal handoff.
Reposted by ACI - Applied Clinical Informatics Journal
aci-journal.medsky.social
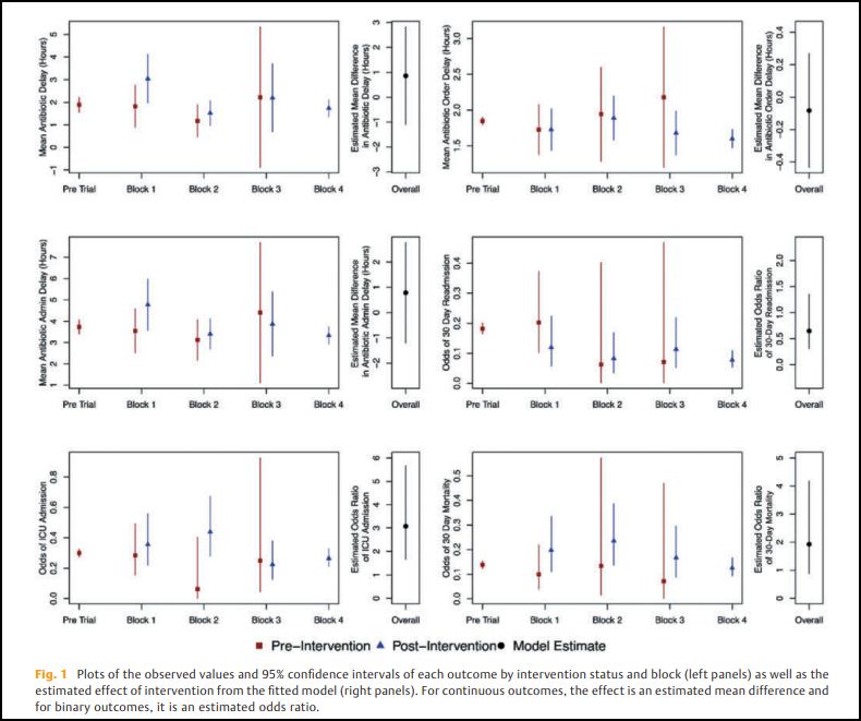
NEW: Lessons Learned from #Sepsis Microlearning Intervention www.thieme-connect.de/products/ejo...

#MedSky #DigitalHealth
Plots of the observed values and 95% confidence intervals of each outcome by intervention status and block (left panels) as well as the estimated effect of intervention from the fitted model (right panels). For continuous outcomes, the effect is an estimated mean difference and for binary outcomes, it is an estimated odds ratio.
Reposted by ACI - Applied Clinical Informatics Journal
aci-journal.medsky.social
NEW: Parental Access to #Adolescent Online Healthcare Portals: Benefits, Problems, and Barriers www.thieme-connect.de/products/ejo...

#MedSky #PedSky #DigitalHealth
A table showing the benefits of parental portal access
Reposted by ACI - Applied Clinical Informatics Journal
aci-journal.medsky.social
NEW: Right Idea, Wrong Time: Focusing on Alert Timing for Effective Decision Support www.thieme-connect.de/products/ejo...

#MedSky #CDS #DigitalHealth
A figure showing an interruptive alert triggered by placing an order reminding emergency department clinicians to perform HIV screening. Copyright 2025 Epic Systems Corporation
aci-journal.medsky.social
NEW: Right Idea, Wrong Time: Focusing on Alert Timing for Effective Decision Support www.thieme-connect.de/products/ejo...

#MedSky #CDS #DigitalHealth
A figure showing an interruptive alert triggered by placing an order reminding emergency department clinicians to perform HIV screening. Copyright 2025 Epic Systems Corporation
aci-journal.medsky.social
NEW: Parental Access to #Adolescent Online Healthcare Portals: Benefits, Problems, and Barriers www.thieme-connect.de/products/ejo...

#MedSky #PedSky #DigitalHealth
A table showing the benefits of parental portal access
aci-journal.medsky.social
NEW: Lessons Learned from #Sepsis Microlearning Intervention www.thieme-connect.de/products/ejo...

#MedSky #DigitalHealth
Plots of the observed values and 95% confidence intervals of each outcome by intervention status and block (left panels) as well as the estimated effect of intervention from the fitted model (right panels). For continuous outcomes, the effect is an estimated mean difference and for binary outcomes, it is an estimated odds ratio.
aci-journal.medsky.social
NEW: Generative #ArtificialIntelligence Summaries to Facilitate #EmergencyDepartment Handoff
www.thieme-connect.de/products/ejo...

#MedSky #EDSky #AI #genAI
A swim-lane diagram of the providers-in-the-loop AI handoff workflow. The blue line illustrates routine ED admission steps. The green line shows that the quality improvement team flags eligible cases, extracts EHR data, and generates the AI summary. The purple line shows that an Emergency Department treatment team member reviews the summary, submits a brief survey, and decides what (if anything) to include in the verbal handoff.