Duty to Disobey
duty-to-disobey.bsky.social
Duty to Disobey
@duty-to-disobey.bsky.social
Military member who is fucking angry. We have a duty to disobey if orders are illegal, unethical, unconstitutional. #Resist #disobey #maliciouscompliance
Pinned
I have been watching the current administration destroy our government, wondering what I could do, feeling powerless as an active duty military member. I hadn't figured it out until now. We have a duty to disobey. I will call my brothers and sisters in arms to action and provide ideas to #resist
Reposted by Duty to Disobey
🚨FEDERAL EMPLOYEES🚨
For those who are considering ending your life -for any reason at all- please do not do it. The financial gain for your family, if any, is not what fam needs, m’friends. They need YOU. We do, too! Please keep the hope alive even if it’s tiny… it’s there! Stay with us, friends. ❤️🐮
March 3, 2025 at 7:33 PM
Reposted by Duty to Disobey
Time for some #MaliciousCompliance!
You know what to do-spam the shit out of these snitch lines! Render them completely useless. And go!
#WagePeace
February 28, 2025 at 5:30 PM
Reposted by Duty to Disobey
A REMINDER TO OUR MILITARY

No U.S. warrior is required to carry out an unlawful order. In fact, it leaves them subject to prosecution.

Your oath is to the Constitution, not to any individual. #oath #honoryouroath #military #ucmj
March 8, 2025 at 12:44 AM
Because the definition of male and female is not clear, I call #military members to maliciously comply. Carry the policy and the executive order around with you. Address everyone as they/them since a zygote at conception doesn't have sex and there's no way to accurately determine sex by looking.
March 8, 2025 at 6:00 PM
Here comes the #maliciouscompliance for #military. I would like to point out the definition of Sex in the DoD policy relies on the full definition of sex from the executive order. Now, the policy doesn't include the definition for male and female. I suspect that's for a couple of different reasons.
March 8, 2025 at 5:53 PM
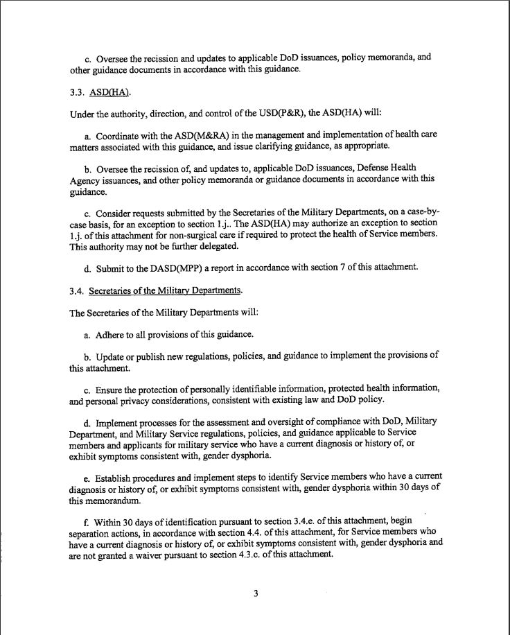
The full DoD policy released for #transgender #military members.
March 8, 2025 at 5:39 PM
The military doesn't actively track #transgender service members, and are directed not to try to identify any UNTIL MARCH 26. They want them to self identify by voluntarily separating (which has more benefits then involuntary separation). It feels like a trap, honestly. This whole thing.
March 8, 2025 at 5:34 PM
The template they want commanders to use for #transgender members who want to voluntarily separate. This just makes me uncomfortable. "Further medical verification...is forthcoming."
March 8, 2025 at 5:31 PM
The guidance for #transgender voluntary separation. Throughout this and the policy released, which I will share, I have to question what they mean by "exhibits symptoms consistent with gender dysphoria". If there isn't a diagnosis, who determines those symptoms in this case? A commander?
March 8, 2025 at 5:28 PM
What I find ridiculous about trying to abolish DEI from academics in the military, when I taught DEI in PME, it was about recognizing bias and discovering ways to remove bias...like removing names from awards when they go to board so you can't assume gender. Which forces a decision based on merit.
March 8, 2025 at 5:13 PM
Guidance for the "Restore America's Fighting Force" taskforce and the areas they will be looking at.
March 8, 2025 at 5:03 PM
Reposted by Duty to Disobey
A new Pentagon memo directs the military to identify service members diagnosed with gender dysphoria within 30 days and begin separation actions.
Transgender troops will be separated from military, Pentagon says
A new Pentagon memo directs the military to identify service members diagnosed with gender dysphoria within 30 days and begin separation actions.
www.militarytimes.com
February 27, 2025 at 3:27 PM
While new releases of Executive Orders are being tied up in court, policy is still being created an enforced. I haven't seen enough talk about what is happening in the military, so I want to bring it to light. I will speak to what I have the most information/experience on. 1/8
March 8, 2025 at 4:18 PM
I have been watching the current administration destroy our government, wondering what I could do, feeling powerless as an active duty military member. I hadn't figured it out until now. We have a duty to disobey. I will call my brothers and sisters in arms to action and provide ideas to #resist
March 8, 2025 at 4:00 PM