Jesse
ember42.bsky.social
Jesse
@ember42.bsky.social
Process engineer. Energy, infrastructure, industrial decarbonisation, P(🌎net0|☢️📉) << P(🌎net0|☢️📈), Sulphur. Views my own. Ember421 at x
For example:
May 30, 2025 at 7:57 PM
Quick search of some comparables suggest it should be able to get <8500. If that's actual operating that's not great. Maybe lots of ramping?
May 30, 2025 at 7:54 PM
These look like air cooled condensers, with the big sub atmospheric steam pipe going out to them.
May 30, 2025 at 7:39 PM
Dry fork looks subcritical
May 30, 2025 at 7:35 PM
January 26, 2025 at 11:40 PM
This is what I call the "Default Plan". Build W+S and if cheap enough, some storage in a NG based firm capacity system until "cannibalization" means there isn't enough revenue to build more or system costs rise.
It looks to be a very sticky local minima.
December 27, 2024 at 1:30 PM
And why not just use gas as part of it? Sure, but that's not what some people are demanding we go to. But it would be cheaper.
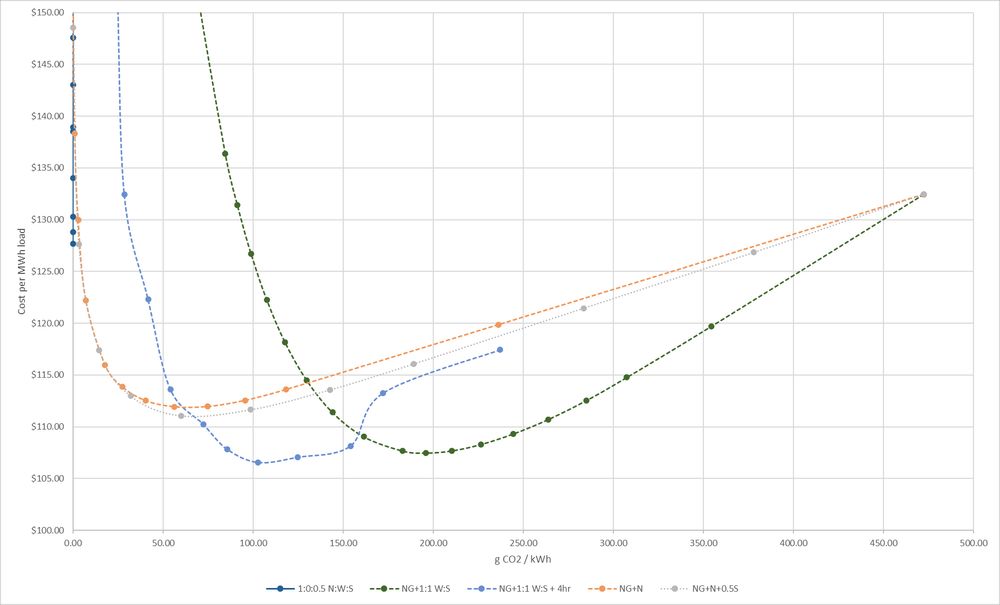
The solid lines are 0 gas and 0 direct emissions. the dashed lines have NG as part of the dispatch. The E ratio is the *clean* power gen to total demand.
December 27, 2024 at 1:30 PM
Then I did a set of costs based on some assumed costs - a detailed Capex, fixed and variable Opex, model is included, but the LCOE's are shown here for reference, along with the storage - assumed to be a 50% RTE LDES (i.e. Iron-air). The LDES gets unlimited, 'free' charge.
December 27, 2024 at 1:30 PM
Another way of looking at it, this time in ratio of total nameplate to average energy demand. Note storage is also in relation to average energy demand from load, and load is Ontario's actual mid 2020 to mid 2022 demand, also actual wind and solar CF% with an hourly simulation.
December 27, 2024 at 1:30 PM
I have been playing around with an interesting concept here - the tradeoff curves of capacity vs storage.
First for a completely clean + storage system. This is what we need for Ontario for a no FF system with current demand profile, assuming starting from scratch for clarity. 🔌💡
December 27, 2024 at 1:30 PM
That being said, is a expansion of wind from ~12GW nameplate to ~30GW nameplate in the next 5 years realistic? Or is a lot of that slower walking baked in already, and if it is the nuclear program could be quite important by the time it shows up if other aspects have stalled.
December 15, 2024 at 9:39 PM
Overall, the 'go slower' part would result in approx. 0.5-0.7 Gt CO2 based on a 'graphical analysis' (aka eye-balling) the chart. But for approx. $100B+ difference, this implies ~$200/t CO2 as an implicit carbon cost of pursuing this acceleration. Late 2040's on the NPP inclusive is lower emissions
December 15, 2024 at 9:39 PM
I have seen lots of wishful thinking on dunkelflaute *management*, but I have never seen outright dunkelflaute *denialism* before.
Always something new!
December 11, 2024 at 5:05 PM
Thanks! My point is that the shaded box ends out being a whole lot more complex with cement (vs NG combustion) due to the types of issues highlighted.
Low reactivity with NOx is helpful though, hopefully they will still address NOx to reduce that as a pollutant though…
December 7, 2024 at 10:59 AM
Very much so.
For Ontario it looks like this:
x.com/Ember421/sta...
(I need to port more threads over). This was run with a high C tax to get the line to slope down to the left at all.
The '4hr storage' here is $50/kWh TIC. Much above that and it doesn't help much, even with a steap C tax.
November 19, 2024 at 11:07 PM
Now we add one more twist. This is the ideal site for large industrial dispatchable demand users. For this discussion take H2 production. We can easily use a portion of extraction steam from the turbine to generate or directly supply LP steam to the SOEC.
November 15, 2024 at 8:31 PM
Now the interesting part begins!
Our real challenge is how to deal with extended durations of high load and low VRE (beyond practical batteries). Salt storage will have the same duration issues in the end.
So we add a combustion turbine to the site. Liquid fueled would add resiliency.
November 15, 2024 at 8:31 PM
Now we add a thermal storage. This uses solar salt (Na and K nitrates) and stores it in a hot tank to save for later, after used stores it in a cold tank. There are options to use a single tank, phase change TSS, or packed tanks, etc.
November 15, 2024 at 8:31 PM
How do we make nuclear the anchor for flexibility and firm capacity?
Here is my basic proposal.
Let’s start with a 350MW Gen IV reactor. This is basically the Natrium in round numbers, but we could use others, and we can adjust the ratios of turbine / core etc to suit the system.
*ANY* ~500C+ works
November 15, 2024 at 8:31 PM
While I'd love to take that deal on Germany's behalf, they would need more like their entire original fleet to just get rid of lignite, let alone gas as well...

But i think we are stuck with that deal anyway as our best case, it's just going to take us as long as it takes us to implement it...
November 15, 2024 at 7:38 PM
There are a few useful lessons from the last day in Alberta. I’m sure there will be many more after it all clears up.
1) The winter effective load carrying capacity of combined wind and solar in central NA is approximately *zero* during peak load events.
January 14, 2024 at 11:46 AM
This leads us to what a “corner case” is. A combination of conditions that is in the specification window, but you have to decide if that combination can ever actually happen. Get it right and huge gains can be found, but get the relationship wrong… oops, you didn’t meet spec!
December 1, 2023 at 12:33 AM
Here is an example of how interpretation and uncertainty can amplify to end out overpaying for what you actually needed. Now keep running through the same chain to the sub vendor etc.
December 1, 2023 at 12:32 AM
Their engineer does the calculations and says, “I need to guarantee 110# and 110*, but I have some uncertainty on the actual conditions, so I better design for a nominal 10% margin to cover my uncertainty” and selects the heater that has this capability:
December 1, 2023 at 12:32 AM
So now the vendor sales lead gets the RFP and says “ok, i can do this, but they want PG’s (performance guarantee's) I better provide a heater that can deliver 110# and 110*” and passes it over to their engineer.
December 1, 2023 at 12:32 AM