Gerard Hughes
banner
ghhughes.bsky.social
Gerard Hughes
@ghhughes.bsky.social
Kanro grant recipient for respiratory protection testing and advocacy. Science aficionado. Cat fan. Clean air and NPI proponent.

@ghhughes at the old place
https://www.youtube.com/@gerardhughes
The AirFanta 4Lite is the best in class for portable air filtration designed to create localized clean air zones, but even with that there are significant limitations and you need to be really close.

youtu.be/29wInO_8Bi8
November 15, 2025 at 12:20 AM
I really wish small air purifiers were better at making a local clean air zone, but unfortunately the filtered output becomes almost instantly mixed with the unfiltered ambient air.

The air is only 1.6x cleaner of submicron particles 6" from the output of this purifier.
November 15, 2025 at 12:20 AM
I liked the draft review they posted earlier for public comment, but I wish the CSA would stop hiding public safety standards behind a paywall.

Canadians can sign up for view-only access. But a PDF of the current, older CAN/CSA-Z94.4-18 (R2023) costs $190.
November 3, 2025 at 6:52 PM
There is a specific designation in the EU for loose fitting PAPR particulate filters: TH1P, TH2P and TH3P filters.

www.draeger.com/Content/Docu...
October 28, 2025 at 7:56 PM
Meanwhile, the Powercap filters turn out to actually be TH1P filters with 90% minimum particulate filtration. Which I found out once I located the manufacturer's spec sheet via regular Google search results.

www.sitebox.ltd.uk/docs/TH1P/CA...
October 28, 2025 at 7:56 PM
Google AI lied to my face about respirator filters. You can't trust AI to give accurate information on respiratory protection

I searched for info on the Peke Safety Powercap's filters by product code to find their rating. The confidently wrong Google AI result I didn't ask for told me they are FFP2
October 28, 2025 at 7:56 PM
This popular fan powered respirator isn't as protective as people think. Its European TH1 certification allows up to 10% inward leakage.

The Powercap is a legitimate PAPR but not nearly as good as NIOSH PAPRs, or the other two EU PAPR classes:

TH2 - 2 % leakage allowed
TH3 - 0.2% leakage allowed
October 28, 2025 at 6:38 AM
MERV 13 works well for air purifiers because they do multi-pass filtration by cycling the air repeatedly through the filter. So the filtration doesn't have to be perfect on the first pass.

Masks are single pass filtration, the filter needs to be MERV 16 to catch 95% of particles on the first pass.
October 27, 2025 at 5:02 PM
Be cautious in reposting the "time to infectious dose" 2-way masking graphic.

It is still true that everyone masking is quadratically more effective than 1 person masking at infection control from airborne disease. But the initial starting point is purely hypothetical for illustration purposes.
October 17, 2025 at 9:44 PM
Huge 75% off discount on NIOSH-approved strapless ReadiMask N95s.

50 for $18.55

Discount code "NonSmokingZone"

Non-affiliate link:
alliantbiotech.com/product/read...

H/t to u/doililah for the code.
October 10, 2025 at 1:27 AM
I tested the UV wand with an expensive meter, and still wasn't sure, so I got an even more expensive one and confirmed that this only gives off 393nm UV-A. The listing lied about having UV-C.
October 5, 2025 at 4:26 AM
There are legit UV sanitizers on Amazon.

But a consumer has no way to tell which UV sanitizers on Amazon are legit and which are fakes. UV light is invisible and there is no way to tell visually if the device gives off the right kind of UV, or any UV, or if it is in the right quantity.
October 5, 2025 at 4:26 AM
No. The answer is no. You can't trust UV sanitizers from Amazon.

Amazon gave me this one to review. It's supposed to output sanitizing UV-C light, but only gives off UV-A. Which may be a good thing. The FDA warned that UV wands with un-guarded UV-C sources can expose you to unsafe levels of UV-C.
October 5, 2025 at 4:26 AM
N95s can filter even ultra-fine smoke particles. Cooper the cat shows one of the ways they do that: electrostatic attraction.

N95 filters have a semi-permanent electrostatic charge that traps particles.

The better your N95 fits and seals on your face the better it can protect you.
October 2, 2025 at 8:28 PM
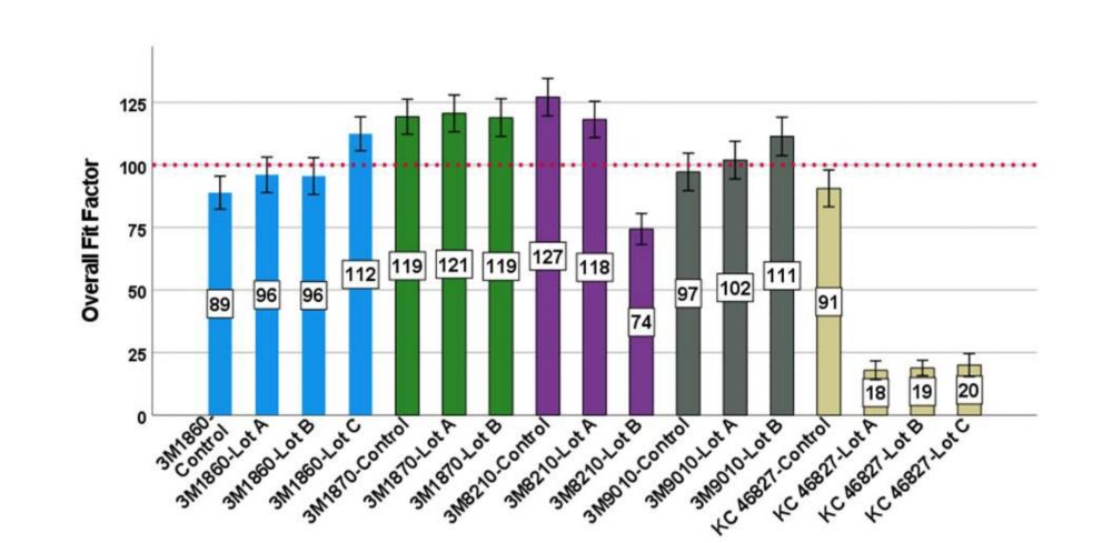
The 9 year old 3M Aura N95s shown by green bars tested almost identically to new ones. But the 13 year old Kimberly Clark duckbill N95s shown in tan on the right are a disaster.

For each model of mask tested a new mask was used as a control, and is shown on the left.
September 9, 2025 at 5:31 PM
Should you trust N95s to fit well past their expiration date? Depends on the specific model and storage conditions, including how they were stored before you got them and have no way of knowing.

This study fit tested stockpiled masks that were from 9 to 13 years old.

www.cdc.gov/niosh/media/...
September 9, 2025 at 5:31 PM
Amazon has been selling giant boxes of 440 3M Auras as low $27. That's 440 masks for super cheap. But can they really be any good?

I bought a case & measured the properties & performance compared to Auras from other sources as part of my Kanro grant for testing respiratory protection

Video link ⬇️
September 9, 2025 at 3:54 AM
Here's an electron microscope image of static attraction at work in a mask filter. Shown are salt particles on the fibers of a KN95 by @zhouliang_mask.

The "big" crystals are about 1.5 microns. The smaller captured particles are as small viruses like Covid.

reddit.com/user/zhoulia...
September 4, 2025 at 5:57 AM
You know how styrofoam peanuts cling to a statically charged balloon? You can make a solid puck of plastic that does the same thing, but stays permanently charged - it's an "electret," the static charge equivalent of a permanent magnet.
September 4, 2025 at 5:57 AM
So, is it a scam? They say it is N95 equivalent, but it isn't. They bury the fact it is only for nuisance levels of contaminants in the URL and spec sheets.

I'd say that most people would not expect to pay $495 for a "nuisance" respirator that can't filter even as well as an N95 mask.
August 25, 2025 at 11:44 PM
The product spec sheet tells us the fan powered respirator has

😐 4 hour battery (meh)
🙂 170 liter per minute airflow (proper airflow for a PAPR)
😕 N95 equivalent (it isn't even that)
😣"nuisance" air filtration (only safe to use for particles that are safe to breathe without a respirator)
August 25, 2025 at 11:44 PM
Can you tell scam respirator ads on Facebook from legit ones?

I checked out if the fan powered respirator in this ad by PekeSafety is a total scam, an awesome deal, or somewhere in between.

Video link in next comment.
August 25, 2025 at 11:44 PM
This doesn't mean that the actual 3M branded products from Home Depot are un-trustworthy. Those should be fine and come directly from 3M to Home Depot. But make sure that what you order from the Home Depot is specifically listed as 3M brand.
August 22, 2025 at 2:16 AM
Don't get fooled! If you search for "3M Full Face Respirator" on Home Depot's website you'll get fakes and non-NIOSH masks.

Weirdly, Home Depot doesn't sell full face 3M respirators, but instead of just saying so you get 1,414 results. The 1st is a fake 3M mask - a generic knock off of a 3M 6800.
August 22, 2025 at 2:16 AM
Remember back when a bunch of people got discounted new CleanSpace2 PAPRs from Fisher Scientific, but they were all DOA because the non-replaceable batteries self-discharged in storage and permanently died?

www.reddit.com/r/Masks4All/...

Well, CleanSpace now has a fix for that: It's your problem.
August 18, 2025 at 11:39 PM