Moritz Fischer
@moritzfischer.world
200 followers 570 following 25 posts
Astrophysicist • Dark Matter moritzfischer.world darkium.org
Posts Media Videos Starter Packs
moritzfischer.world
I am delighted to have started this week as a Feodor Lynen Fellow of the Alexander von Humboldt Foundation (@humboldt-foundation.de) at the Donostia International Physics Centre (@dipcehu.bsky.social) in San Sebastián, working in Raúl Angulo's group.
View of a building at the Donostia International Physics Centre. The logo with the letters DIPC can be seen on the façade.
moritzfischer.world
Today, we present the first N-body simulations of a self-interacting dark matter spike around a supermassive black hole in our paper led by V. Sabarish. https://arxiv.org/abs/2505.14779
moritzfischer.world
I presented this work a few weeks ago at UCLA Dark Matter 2025: moritzfischer.world/DM25/
moritzfischer.world
moritzfischer.world
How can we simulate realistic self-interacting dark matter models with large- and small-angle scattering? Check out the new study led by our student Cenanda Arido! https://arxiv.org/abs/2410.07175
moritzfischer.world
Delighted to see that the work led by S. Yang with new constraints on velocity-dependent self-interactions of dark matter got accepted! https://arxiv.org/abs/2305.05067
moritzfischer.world
Happy that our paper on numerical issues in simulations of collapsing self-interacting dark matter halos got accepted. https://arxiv.org/abs/2403.00739
moritzfischer.world
It was a pleasure to discuss dark matter research at the KITP conference "Cosmic Signals of Dark Matter Physics: New Synergies"! I am happy that my talk about signatures of the angular dependence of dark matter self-interactions is available on YouTube. https://youtu.be/wmtmhLMgSG8
moritzfischer.world
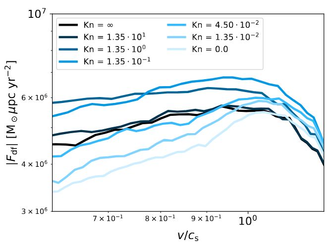
How does dynamical friction change when dark matter has self-interactions? Learn about it in our new paper by Laura Sagunski and myself. https://arxiv.org/abs/2405.19392
moritzfischer.world
SIDM can make subhalos in galaxy clusters more compact, but in a different way than one would naively expect, as shown in our study led by A. Ragagnin, using full physics zoom-in simulations. https://arxiv.org/abs/2404.01383
moritzfischer.world
Just compiled a plot of various constraints on the dark matter self-interaction cross-section for my upcoming talks.
moritzfischer.world
Two and four weeks ago, two papers appeared on arXiv investigating numerical problems in N-body simulations of collapsing SIDM halos. We join them with our study explaining the causes of energy conservation errors in simulations of the late collapse phase. https://arxiv.org/abs/2403.00739
moritzfischer.world
In our second paper today, led by V. Sabarish, we find that the effects of velocity-dependent self-interactions are more pronounced in the late stages of merging galaxy clusters than shortly after the first passage of the clusters through each other. https://arxiv.org/abs/2310.07769
moritzfischer.world
Today on arXiv, our qualitative study of velocity-dependent self-interactions. We find that a strong velocity dependence can diversify the halo population regardless of the angular dependence of the scattering. https://arxiv.org/abs/2310.07750
moritzfischer.world
I am honoured to have received the Best Paper Award from the Cluster of Excellence Quantum Universe today. https://www.qu.uni-hamburg.de/research/highlights/23-04-18-fischer.html
moritzfischer.world
Our new website for our research on self-interacting dark matter is online. Check it out! https://darkium.org
moritzfischer.world
Paper day! We have studied the role of the ICM in merging galaxy clusters with SIDM: 1. the presence of the ICM enhances DM-galaxy offset, 2. the position of the shock front combined with the galaxy positions could be an interesting probe of DM. https://arxiv.org/abs/2302.07882