Tim Vogel
timvogel.bsky.social
Tim Vogel
@timvogel.bsky.social
Researcher in the programme "Transformation of Economic and Social Systems" at the German Instiute of Development and Sustainability (IDOS). Mostly trade and development research. Everything on here reflects my own views. #EconSky
Reposted by Tim Vogel
Trumps #Zölle treffen vor allem die Ärmsten. Die #EU sollte jetzt die #WTO stärken, Partnerschaften im Globalen Süden vertiefen & mit Gegenmaßnahmen nicht die Falschen treffen, sagen
@cbrandi.bsky.social & @timvogel.bsky.social in einem neuen @table.media -Gastbeitrag: table.media/africa/stand...
April 15, 2025 at 1:24 PM
🎉 My very first op-ed just got published in German media!
In Table.Briefings, Clara Brandi and I explore the implications of Trump’s proposed “reciprocal” tariffs (for 90-days reduced to a flat additional 10% for most countries) for Least Developed Countries (LDCs).
Zölle gegen die Ärmsten: Warum Trumps aufgeschobene Zölle die Falschen träfen – und wie Europa reagieren kann
Trumps aufgeschobene Zölle träfen die Ärmsten, warnen zwei Entwicklungsexperten. Sie haben Empfehlungen, wie Europa reagieren kann.
table.media
April 15, 2025 at 11:50 AM
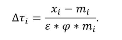
When I read the first posts about how the Trump administration calculated its “reciprocal tariff rates” I couldn’t believe it. So, I jumped into the spreadsheets to check for myself. By now, the formula has been confirmed. As expected, these tariffs are not “reciprocal tariffs” in the slightest.
April 3, 2025 at 2:55 PM
𝗠𝗮𝗸𝗲 𝗠𝘂𝗹𝘁𝗶𝗹𝗮𝘁𝗲𝗿𝗮𝗹𝗶𝘀𝗺 𝗚𝗿𝗲𝗮𝘁 𝗔𝗴𝗮𝗶𝗻 🌍🤝 𝘃𝘀 𝗠𝘂𝘁𝘂𝗮𝗹 𝗔𝘀𝘀𝘂𝗿𝗲𝗱 𝗗𝗲𝘀𝘁𝗿𝘂𝗰𝘁𝗶𝗼𝗻 💥⚖️

Inspired by Richard Baldwin’s thought-provoking piece on M.A.D. in trade (lnkd.in/eYGFxdYh), Frederik Stender and I add a missing piece to the debate on how the EU could respond to Trump’s tariffs.
www.globalpolicyjournal.com
March 6, 2025 at 8:09 AM
Reposted by Tim Vogel
Frederik Stender and @timvogel.bsky.social, both @idos-research.bsky.social , argue in this opinion piece in #GlobalPolicyJournal that it is time for the EU to adopt a more proactive and self-confident approach to #trade and put ‘open strategic autonomy’ into practice. Read more: t1p.de/h3v2k
t1p.de
March 6, 2025 at 8:00 AM
A swift and bold renewal of the African Growth and Opportunity Act (AGOA) is needed to deliver on meaningful growth opportunities for sub-Saharan African countries — but its future has never been more uncertain.
#EconSky #Development #InternationalCooperation #TradePolicy #africa #agoa
January 28, 2025 at 8:04 AM
Last week, we had the privilege of welcoming over 50 researchers and practitioners to @idos-research.bsky.social in Bonn for our 2nd Africa in the Global Economy conference. It was a lively event filled with very interesting presentations and great discussions.
December 13, 2024 at 2:31 PM
Life is good when you are in Florence! Many interesting discussions on non-economic objectives in trade policy between academics and policymakers at the World Trade Forum at the EUI. Also focused on the impact on developing countries and unilateral actions by the EU. #WTF2023 #EconSky
October 14, 2023 at 1:23 PM
Come and work with us! #EconSky
October 4, 2023 at 6:08 PM