Arthur Pesah
@arthurpesah.bsky.social
360 followers 140 following 17 posts
PhD student in quantum error correction at UCL
Posts Media Videos Starter Packs
arthurpesah.bsky.social
Thanks again to all my collaborators and everyone I discussed this with in the past 1.5 years! You can find my talk at QEC25 here if you're interested: yale.hosted.panopto.com/Panopto/Page...
And of course, feel free to reach out to me with any question you might have on this paper!
arthurpesah.bsky.social
This work started w/ my struggle to understand fault-tolerant cluster states, and in particular why they always magically implement the same QEC problem as non-MBQC circuits. Understanding this correspondence as chain complex equivalence finally solved it for me, and I hope for other people too :)
arthurpesah.bsky.social
Contrary to other formulations of the cluster state complex, ours can represent any MBQC circuit, including those with non-bipartite cluster states and Y measurements (represented as self-loops). This is e.g. useful for non-CSS codes, logical circuits with S gates, etc.
arthurpesah.bsky.social
Detectors can be also read from this graph (or rather its dual, with edge arrows inverted), by looking at sets of nodes whose neighborhood cancel, and whose support on the input is a stabilizer or whose support on the output is zero (to distinguish detectors from logical correlations).
arthurpesah.bsky.social
The cluster state complex can be represented as a graph, which closely resembles the usual graph state representation of the MQBC circuit. Each circle node is both a gauge operators and a Z error. We also add some new input/output nodes to represent X errors at the i/o of the circuit.
arthurpesah.bsky.social
Finally, we show that the chain complex associated to an MBQC circuit is equivalent to a more compact complex, called the "cluster state complex", generalizing a notion proposed e.g. in Newman et al. (arxiv.org/abs/1909.11817)
arthurpesah.bsky.social
Using only those rules, we then show that any Clifford circuits compiled into single-qubit gates and controlled-Pauli (with Pauli errors allowed before and after each gate) can be turned into an equivalent MBQC circuit. We also derive the MBQC circuit corresponding to any dynamical code.
arthurpesah.bsky.social
We can show that those two rules preserve the QEC properties of the complex (#logicals, distance, decoding function), and we call such map of chain complexes a fault-tolerant map.
arthurpesah.bsky.social
The second transformation rule (that we call rule B) tells us that errors that are part of a weight-1 gauge operator can be eliminated. Applying it to the chain complex of the MQBC Hadamard finally gives us the original chain complex of the Hadamard gate.
arthurpesah.bsky.social
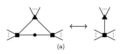
The first transformation rule (that we call rule A) tells us that errors related by a weight-2 gauge operator can be merged. Let's apply it to the chain complex of the MBQC Hadamard gate.
arthurpesah.bsky.social
Drawing the chain complex of simple circuits and their MBQC version, we then realized that they can be related through a few set of transformation rules. For instance here are the circuits and complexes of an H gate and its MBQC version.
arthurpesah.bsky.social
Such chain complex, equipped with a basis for each space, can then be drawn as a tripartite graph, with circle nodes representing gauge operators, squares representing errors, and triangles representing stabilizers (with X/Z inverted). Here is for instance the chain complex of the Bacon-Shor code.
arthurpesah.bsky.social
We then realized that the properties of subsystem codes can themselves be encapsulated within a chain complex, similarly to CSS codes. It has three spaces: gauge operators, errors and stabilizers. Its maps are the gauge matrix, and parity-check matrix multiplied by the symplectic matrix.
arthurpesah.bsky.social
In this subsystem code, there is a qubit for every spacetime location of the circuit. Its gauge operators are all the trivial circuit errors (e.g. an X error before an H gate and a Z error after), and its stabilizer group contains the detectors of the circuit ("spackle" of redundant measurements).
arthurpesah.bsky.social
The starting point of our formalism is the subsystem spacetime code construction of Bacon et al. (arxiv.org/abs/1411.3334). To any Clifford circuit, you can associate a subsystem code that encapsulates its QEC properties, e.g. the distance of the code is exactly the fault distance of the circuit.
arthurpesah.bsky.social
Tldr: using a new chain complex representation of QEC circuits, we design circuit transformation rules, called fault-tolerant maps, that preserve their properties (distance, number of logical qubits & decoding). We used this to map many classes of Clifford circuits to cluster states.
arthurpesah.bsky.social
New paper out ✨

Fault-tolerant Transformation of Spacetime Codes, a collaboration w/ @vasmer.bsky.social, Austin Daniel & Ilan Tzitrin, which started during my internship @xanaduai.bsky.social

scirate.com/arxiv/2509.0...

Let's now see if I can summarize 101 pages (🙈) in a few tweets (and memes!)