Christian Breyer
@christianonre.bsky.social
2.8K followers 260 following 2.7K posts
Professor for Solar Economy @UniLUT. Interested in sustainable energy-industry-CDR systems based on #100RE. Safe planetary boundaries matter. http://youtube.com/watch?v=9jwJWK… - http://lut.fi -
Posts Media Videos Starter Packs
christianonre.bsky.social
no. we need net-negative energy-industry systems, however, in a future paper we want to pencil out more what could be done with this electricity for free. Also quite many countries do not have a fossil gas infrastructure today, why to build something with import terminals, etc.?
christianonre.bsky.social
11/ Listen to the Inter-annual Storage and Balancing for 100% Renewables - A Global Analysis paper in the podcast on our research results: youtu.be/pAWjWeLqt-A – this is AI-generated using Google NotebookLM.
Inter-annual Storage and Balancing for 100% Renewables - A Global Analysis
YouTube video by Christian Breyer
youtu.be
christianonre.bsky.social
10/ Conclusion: The findings demonstrate that strategic overcapacity is the most cost-effective tool for ensuring long-term energy system resilience. Curtailment should be understood not as a flaw, but as a rational component of a least-cost #100RE system.
christianonre.bsky.social
9/ The global cost implications are profound. A storage-heavy, curtailment-optimised approach increases system costs by an average of 103.1%. In stark contrast, an overcapacity-focused, cost-optimised approach increases costs by only 3.3%.
christianonre.bsky.social
8/ The economic rationale is striking. For the four case regions, the total annualised cost markup relative to the baseline system cost plummets as overcapacity increases. The lowest cost is achieved by relying on overcapacity alone, without extra inter-annual storage.
christianonre.bsky.social
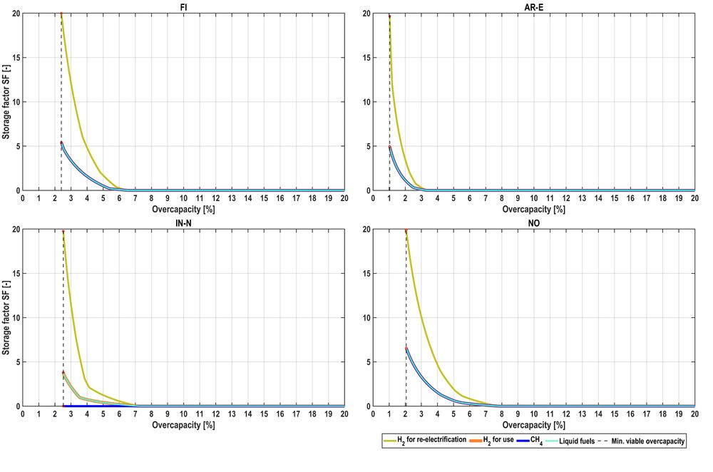
7/ Two key scenarios highlight different overcapacity needs. A curtailment-optimised system requires a global average of 1.4% overcapacity, whereas a cost-optimised system relies on a higher average of 5.0% to achieve economic efficiency.
christianonre.bsky.social
6/ When prioritising minimal energy curtailment, vast storage capacities are required globally. Hydrogen for re-electrification dominates with a need for 27,674 TWh, far exceeding hydrogen for direct use (404 TWh), methane (55 TWh), and liquid fuels (275 TWh).
christianonre.bsky.social
5/ A clear trade-off between storage and overcapacity is revealed. For four archetype regions (wind, solar, hydropower, and technology-mix dominant), the required storage factor, a multiplier for storage capacity, decreases sharply as generation overcapacity increases.
christianonre.bsky.social
4/ A novel modelling framework was developed to manage IAV. The procedure calculates the minimum viable storage factor (SF) and generation overcapacity needed to ensure supply security for electricity, hydrogen, methane, liquid fuels across a multi-decade weather period.
christianonre.bsky.social
3/ This research expands an earlier study for managing wind-related IAV on the case of the UK & Ireland doi.org/10.1016/j.en.... A core limitation was not to consider the complementarity of solar & wind energy. This gap is filled in this study for 145 regions globally.
Redirecting
doi.org
christianonre.bsky.social
2/ To achieve #100RE systems, not just daily or seasonal, but also inter-annual variability (IAV) of solar PV and wind power generation must be managed. This study quantifies the requirements to ensure system resilience across decades.
christianonre.bsky.social
1/ New research @lut.fi presents the first global analysis of inter-annual storage for #100RE systems in 145 regions doi.org/10.1016/j.ap.... Strategic generation overcapacity is a significantly more cost-effective solution than building massive storage.