Christian Webb, PhD
@christianwebb.bsky.social
2.4K followers 730 following 100 posts
Associate Professor | Harvard Medical School Co-Director | Center for Depression, Anxiety, & Stress Research Director | Treatment & Etiology of Depression in Youth Lab | McLean Hospital | www.WebbsLab.com McGill & UPenn alum | Canadian in Boston
Posts Media Videos Starter Packs
christianwebb.bsky.social
@mcleanhospital.bsky.social Technology in Psychiatry Summit #TIPS returns this year Dec 11-12. We have exciting keynotes lined up, including Drs. Pattie Maes (MIT Media Lab), Isaac Galatzer-Levy (Google DeepMind), and Derrick Hull (Slingshot AI). Submissions are now open. See below for info.
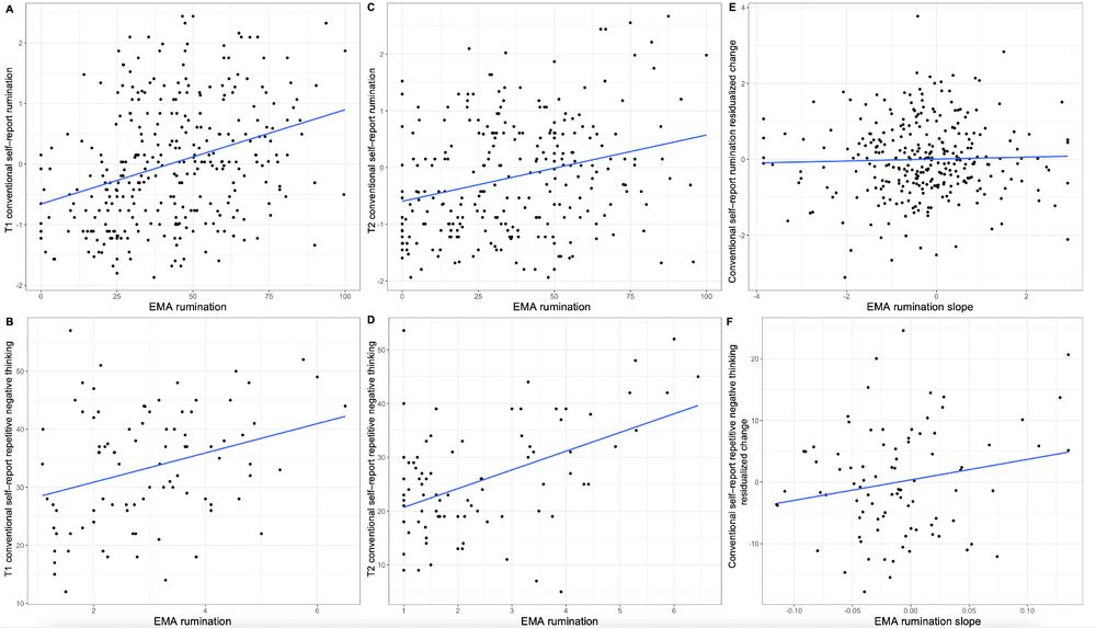
christianwebb.bsky.social
Conventional self-report and EMA measures of rumination provide distinct and clinically meaningful information. When deciding to use EMA in intervention studies, researchers should carefully consider the psychometric properties of their measures and the precise construct they intend to capture
christianwebb.bsky.social
We found larger changes in rumination for the conventional self-report measures relative to EMA. Notably, change in both self-report and EMA rumination accounted for unique variance in overall depressive symptom improvement, demonstrating incremental predictive validity. 5/n
christianwebb.bsky.social
Conventional self-report and EMA rumination were only modestly correlated, particularly w/ regards to change over time, which may be due to the lower reliability of change scores and that they tap different “selves” (e.g., experiencing vs. remembering self) 4/n
christianwebb.bsky.social
While the reliability of both conventional self-report rumination (at baseline and post-intervention) and mean EMA rumination scores were high, we found a substantial decline in reliability when assessing change over time, especially for EMA. 3/n
christianwebb.bsky.social
We analyzed data from 4 app-based meditation trials (N=412) to assess the reliability, validity, and sensitivity to change of conventional retrospective self-report vs. EMA measures of improvement in rumination. 2/n
christianwebb.bsky.social
There is still time to submit your symposium, workshop, or poster for the 2025 Technology in Psychiatry Summit (TIPS). Submission deadline is Oct 9. TIPS is taking place virtually as a 2-day meeting Dec 11th and 12th, 2025. #TIPS #technologyinpsychiatry

Link: techinpsych.org
Technology in Psychiatry Summit | Supporting Mental Health in the Digital Age
techinpsych.org
christianwebb.bsky.social
Thanks, Charly. in general it was teens with lower levels of symptoms (e.g., fewer emotional difficulties (SDQ), lower depressive symptoms (CESD), and less executive function difficulties (BRIEF)). Details in the paper
Reposted by Christian Webb, PhD
christianwebb.bsky.social
🚨 New research alert

We applied machine learning to the large MYRIAD trial (84 schools and 8,376 UK teens) to ask:

👉 Which adolescents benefit most from mindfulness delivered in schools?

Bottom line: One-size-fits-all doesn’t work.

Paper link: tinyurl.com/vvpvfunh

1/n
tinyurl.com
christianwebb.bsky.social
Coauthors @willemkuyken.bsky.social @hinzeverena.bsky.social and bluesky-less Drs. Ren, Dalgeish, Ford, Greenberg, and Montero-Marin (hope not missing any bluesky accounts)
christianwebb.bsky.social
Focusing only on individual-level interventions risks overlooking broader influences. Future precision prevention should integrate multilevel data—capturing both individual and contextual drivers of outcomes.
6/n
christianwebb.bsky.social
Youth mental health ≠ just individual factors.
School climate, poverty & inequities matter too.
Prevention must move beyond one-size-fits-all to integrate both personal + systemic influences.
5/n
christianwebb.bsky.social
Machine learning can identify which adolescents are more likely to benefit from SBMT vs. TAU.

This may point to a path toward precision prevention in schools. Next step: prospective trials testing whether algorithm-guided intervention assignment improves outcomes. 4/n
christianwebb.bsky.social
We used ML on baseline student + school characteristics to predict change in depression in SBMT vs. TAU.

Results:
• 19% of students fared better with SBMT (d = 0.22)
• 37% fared better with TAU (d = 0.22)
• Compared to negligible average between-group effects in the trial (d = 0.03)
3/n
christianwebb.bsky.social
The MYRIAD trial compared school-based mindfulness training (SBMT) vs. teaching as usual (TAU) in > 8,000 teens in 84 UK schools. SBMT did *not* outperform TAU in the overall trial. Background via NYT: www.nytimes.com/2024/05/06/h... 2/n
Are We Talking Too Much About Mental Health? (Published 2024)
www.nytimes.com
christianwebb.bsky.social
🚨 New research alert

We applied machine learning to the large MYRIAD trial (84 schools and 8,376 UK teens) to ask:

👉 Which adolescents benefit most from mindfulness delivered in schools?

Bottom line: One-size-fits-all doesn’t work.

Paper link: tinyurl.com/vvpvfunh

1/n
tinyurl.com
christianwebb.bsky.social
Does your uni have any firewalled LLMs (contained in your institution and doesn't share data with the web/AI companies). Maybe some LLM solution like arxiv.org/abs/2402.13846
Hadar may have more ideas (she's traveling). Julian Rubel or Justin Baker may have thoughts too. Happy to reach out to them
Large Language Models are Advanced Anonymizers
Recent privacy research on large language models (LLMs) has shown that they achieve near-human-level performance at inferring personal data from online texts. With ever-increasing model capabilities, ...
arxiv.org
christianwebb.bsky.social
Excellent new paper spearheaded by lab member @hadarfisher.bsky.social finding that emotion rigidity (assessed via EMA) in youth predicts future depressive symptoms over a 2 year follow-up.
hadarfisher.bsky.social
🚨New paper on emotion rigidity as a risk factor for future depression out in BRAT!
Thank you to @christianwebb.bsky.social @diegopizzagalli.bsky.social and the awesome teddylab team @nigeljaffe.bsky.social, KristinaPidvirny, and Anna Tierney 🙌

Free 50d access: authors.elsevier.com/a/1lRqe1KMdl...
authors.elsevier.com
Reposted by Christian Webb, PhD
aidangcw.bsky.social
For those interested in the target paper, see here for the link (it's open access).

We use a much larger sample than is typical, that is clinically heterogeneous, and examines associations bw passive sensing and broad domains of psychopathology

jamanetwork.com/journals/jam...