Danielle Wain
banner
dellewain.bsky.social
Danielle Wain
@dellewain.bsky.social
Lake Science Director at 7 Lakes Alliance, Belgrade Lakes, Maine / Research Associate at Colby College / Secretary of North American Lake Management Society / Living a life of dissipation
Day 10 of EV life and this thing has still yet to get 80% charge (getting a fast charger at home when I can). But man, it's a pretty sweet ride!
August 2, 2025 at 10:08 PM
AI abuse!
August 1, 2025 at 1:00 PM
So much is miserable right now in the world, but this really fun thing happened. Minnesota, here we come!
March 3, 2025 at 11:10 PM
Another great #GLEON project! Congrats to Max Glines for shepherding this paper through!

(I think this is the first time I have had two papers come out in a day by dumb luck!)

onlinelibrary.wiley.com/doi/epdf/10....
December 31, 2024 at 4:19 PM
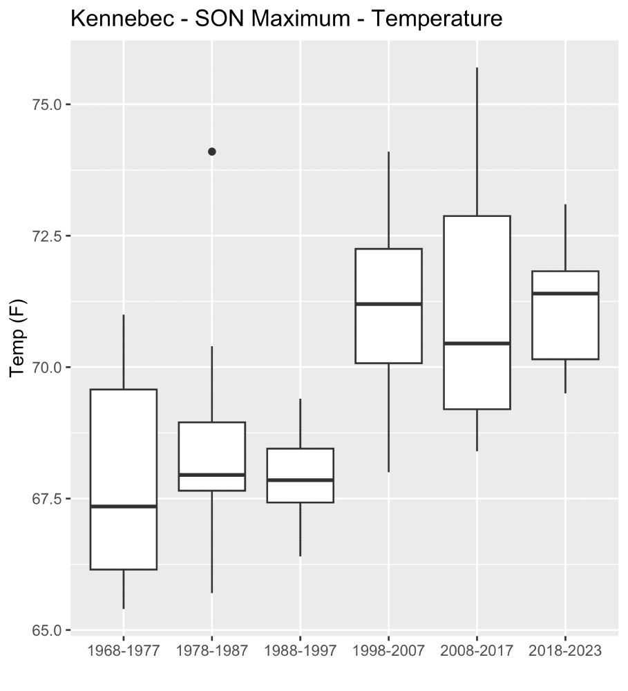
I am compiling information about trends in local air temperature for a hearing and I made this box plot (amongst many) from NOAA data and this shift in air temps after 1997 looks unreal to me (but it is there in the NOAA data too).
December 19, 2024 at 6:39 PM