Association for Laboratory Phonology
@labphon.bsky.social
180 followers 33 following 23 posts
https://labphon.org/
Posts Media Videos Starter Packs
Pinned
labphon.bsky.social
The conference website for #LabPhon20 is now live: labphon.org/labphon20/home

#LabPhon 20 will happen in #Montréal, Québec, Canada, June 26–28, 2026, with additional pre-conference events on June 25. The call for papers and proposals for satellite workshops will be circulated in late August 2025.
Home | Labphon
labphon.org
labphon.bsky.social
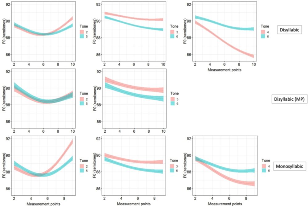
Q: How does tonal coarticulation in disyllabic words of #Cantonese contribute to tone merging and inform research on #soundchange? A: The two interact dynamically, with carryover effects in extreme tonal contexts emerging as an important source of change. #LabPhon #openaccess doi.org/10.16995/lab...
The effects of contextual tonal variation on Cantonese tone merging
Previous studies on Cantonese tone merging have examined monosyllabic materials so far, yet disyllabic words are common in daily conversation. Sound change often originates from a pool of synchronic v...
www.journal-labphon.org
labphon.bsky.social
When a tone in #Huaiyuan #Chinese changes to sound like another is it a perfect copy, or can listeners still hear a difference? An investigation of tone sandhi suggests that neutralization of perceptual categories can override subtle acoustic differences. doi.org/10.16995/lab...
#LabPhon #openaccess
The production and perception of Low Tone Alternations in Huaiyuan Chinese
Huaiyuan Mandarin is a Mandarin dialect that has three low-tone sandhi rules. T1 (low-falling) and T3 (low falling-rising) sandhis involve changing the first low tone to a mid-rising tone when two low...
www.journal-labphon.org
labphon.bsky.social
Take a short SURVEY to help #LabPhon20 organizers understand what might constrain in-person conference attendance, given issues of immigration, funding, and accessibility. We strive to make a realistic and equitable conference plan, including for students.

ubc.ca1.qualtrics.com/jfe/form/SV_...
Qualtrics Survey | Qualtrics Experience Management
The most powerful, simple and trusted way to gather experience data. Start your journey to experience management and try a free account today.
ubc.ca1.qualtrics.com
labphon.bsky.social
Convening for #LabPhon20 in Montreal is an opportunity to celebrate 40 years of #LabPhon.

We invite the ALP community to gather videos, pictures, memories, & artifacts from the last 4 decades, for presentation in Montreal. To help curate and organize materials, please contact [email protected].
labphon.bsky.social
CALL FOR PAPERS, #LabPhon20:
Deadline to submit abstracts is Dec 1, 2025. Abstract guidelines and submission link available in Oct 2025.

CALL FOR SATELLITE WORKSHOP PROPOSALS: Deadline for satellite workshop proposals is Nov 1, 2025. Events' date is June 25, 2026.

labphon.org/labphon20/ca...
Call for Papers & Satellite Workshops | Labphon
labphon.org
labphon.bsky.social
The conference website for #LabPhon20 is now live: labphon.org/labphon20/home

#LabPhon 20 will happen in #Montréal, Québec, Canada, June 26–28, 2026, with additional pre-conference events on June 25. The call for papers and proposals for satellite workshops will be circulated in late August 2025.
Home | Labphon
labphon.org
labphon.bsky.social
We are excited to announce our #LabPhon Association's 2025 off-season programming, a series of three events on #prosody and #suprasegmentals. All events are scheduled during July and August, and they're FREE for ALP members. 😎 🌞 Info and registration are available here: labphon.org/content/summ...
Summer 2025 Workshop | Labphon
labphon.org
labphon.bsky.social
New insights into German #prosody! How do speakers & listeners distinguish utterance-medial vs. utterance-final #intonation boundaries in #German? Subtle differences in intonation, particularly in the rhyme's f0, are key cues for listeners. #LabPhon #openaccess #kinematics doi.org/10.16995/lab...
How final is final: The production and perception of utterance-medial and utterance-final boundaries
We examine the production and perception of two types of phrase-final prosodic boundaries, specifically, utterance-medial and utterance-final intonation phrase (IP) boundaries in German. These two typ...
www.journal-labphon.org
labphon.bsky.social
Can unsupervised self-recordings help researchers capture more naturalistic speech when studying #soundchange? 🎤📱
A study of /p b/ #lenition in Canary Islands #Spanish shows that self-recordings pose some challenges but help reduce the observer’s paradox. #openaccess #LabPhon doi.org/10.16995/lab...
Remote data collection in the study of ongoing sound change in Spanish – a comparative analysis
In this paper, I look at Canary Islands Spanish /p b/ lenition from a comparative perspective by examining the speech of the same participants produced on different occasions and under different circu...
doi.org
labphon.bsky.social
We're delighted to announce that #LabPhon20 will be held in Montréal, Québec, Canada, in the (North American) summer of 2026, with the theme “Looking back and looking forward.” Dates, thematic sessions, invited speakers and further information will be announced by the organizing committee. #LabPhon
labphon.bsky.social
How marginal can phonological contrasts be? In Zongozotla #Totonac, phonation type and glottal stops are phonologically contrastive, but they are weakly differentiated phonetically and the glottal stops only surface phrase-finally. #LabPhon #openaccess #marginalcontrast doi.org/10.16995/lab...
At the margins: phonology and phonetics of Zongozotla Totonac glottalization
Glottal stops and glottalized (“laryngealized”) vowels in Totonac and Tepehua languages are crucial for historical reconstructions, but their phonological and phonetic properties have often posed anal...
doi.org
labphon.bsky.social
Vowel and consonant duration vary inversely in Australian #Yolngu language Djambarrpuyŋu, so what’s contrastive? A pair of #speechproduction and #speechperception studies show that V length is contrastive, though both V & C duration influence perception. #LabPhon #openaccess doi.org/10.16995/lab...
Contrastive vowel length and segment duration in production and perception in Djambarrpuyŋu
This paper deals with segment duration and phonological length in production and perception in the Australian language Djambarrpuyŋu. It provides an acoustic phonetic account of vowel and consonant du...
doi.org
labphon.bsky.social
Most models of #word recognition assume the input is faithful to #phonological specifications in the #lexicon, but it's not always the case. Results from #lenition in #Mawng & #Iwaidja explore how recognition occurs in such scenarios. @bjbaker.bsky.social #LabPhon #openaccess doi.org/10.16995/lab...
Lenition, fortition, and lexical access in Iwaidja and Mawng
Many models of word recognition assume that spoken words are faithful to their phonological shape in the lexicon and that word recognition begins with the first incoming segment and proceeds linearly....
doi.org
labphon.bsky.social
How does dialect exposure affect perceptual adaptation to a novel vowel shift? New results from regional US dialects explore listeners' behaviors via lexical decision tasks to understand the mechanisms governing perceptual adaptation and generalization. #openaccess #LabPhon doi.org/10.16995/lab...
The effect of listener dialect experience on perceptual adaptation to and generalization of a novel vowel shift
When adapting to novel vowel shifts, listeners rely on the systematicity of novel variants across vowel categories (e.g., parallel shifts), even when only part of a novel system is presented. We exami...
doi.org
labphon.bsky.social
Linguists have often observed prosody-syntax interactions in #informationstructure marking, but do speakers rely less on #prosody when #clefting already marks focus? In #Mandarin #Chinese, such tradeoffs aren't found in production or perception: doi.org/10.16995/lab... #LabPhon #openaccess
No prosody-syntax trade-offs: Prosody marks focus in Mandarin cleft constructions
In line with the idea that language has evolved to be efficient and to avoid redundancy, syntactic means of marking information structure have been derived from prosodic ones, and vice versa, for many...
doi.org
labphon.bsky.social
In word shadowing tasks, do participants imitate formant frequencies or vowel shifts? Given the Northern Cities Vowel Shift, talkers imitate normalized phonetic properties of NCVS vowels, not the overall high F1,F2 frequencies of the model talker. #openaccess #LabPhon doi.org/10.16995/lab...
Raw acoustic vs. normalized phonetic convergence: Imitation of the Northern Cities Shift in the American Midwest
Word shadowing tasks elicit phonetic convergence to the stimulus model talkers, suggesting a tight perception-production link. The magnitude of this convergence is affected by linguistic and social fa...
doi.org
labphon.bsky.social
Hello, Bluesky! This is the account for the Association for Laboratory Phonology, #LabPhon. Follow here to learn about new publications in our journal, and other Association news.

#linguistics #phonetics #phonology