Laurie Belcher
@lauriebelch.bsky.social
580 followers 240 following 42 posts
OrthoFinder Evolution of cooperation University of Oxford https://scholar.google.com/citations?user=e3c1TdffPOcC
Posts Media Videos Starter Packs
lauriebelch.bsky.social
Super interesting session on post-phylogenomics this morning at #eseb2025

I have a poster on the new version of Orthofinder - there will be a suggestion box 🎁

P03.076 on Thursday
lauriebelch.bsky.social
Is there a single PDF with a list of talks/times for #ESEB2025 ? I don't get on well with conference apps
lauriebelch.bsky.social
Get OrthoFinder here github.com/OrthoFinder/...

Read the preprint here www.biorxiv.org/content/10.1...

Millions of species here we come!

(10/10)
lauriebelch.bsky.social
OrthoFinder is not only fast and accurate, it's easy to use

Just provide the complete set of amino acid sequences for your species

If you prefer a specific tree or alignment tool, it's easy to customise

We also provide rich outputs like gene duplications and comparative genomics stats (9/10)
lauriebelch.bsky.social
What else is new?

We now use gene tree–species tree reconciliation to refine orthogroups

This catches cases where distinct orthogroups were mistakenly fused (8/10)
figure showing how orthogroups are now phylogenetically delineated in orthofinder 3
lauriebelch.bsky.social
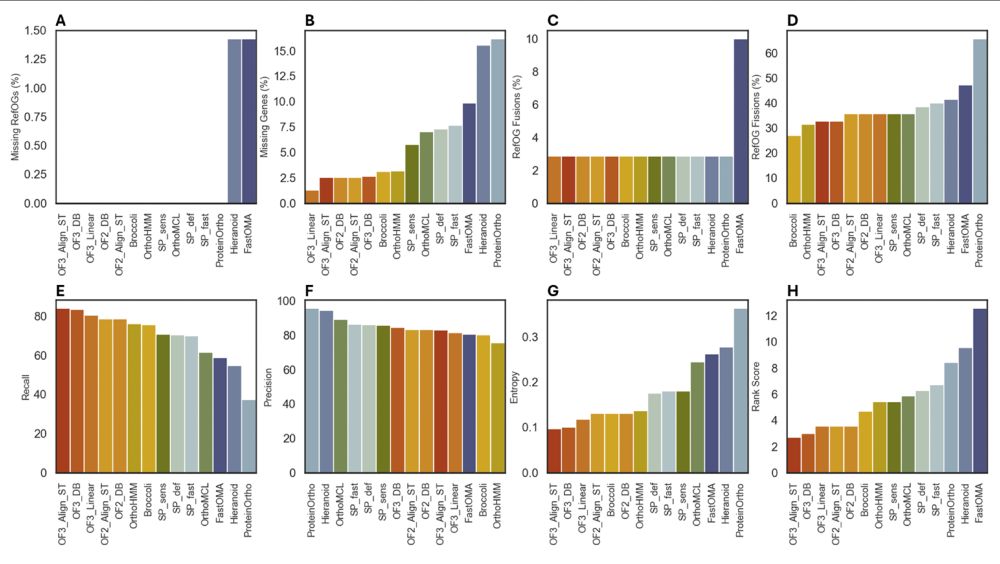
What about ortholog accuracy?

We tested using the gold standard Quest for Orthologs benchmarking service

OrthoFinder scored highly across the board (7/10)
figure showing ortholog benchmarking of various orthology inference tools
lauriebelch.bsky.social
But is it still accurate?

We benchmarked orthogroups using the OrthoBench dataset

OrthoFinder came out on top (6/10)
orthogroup benchmarking figure, using orthobench data
lauriebelch.bsky.social
So is it scalable?

We benchmarked OrthoFinder against other widely used orthology tools

OrthoFinder is the only method able to analyse >1000 species within our time cutoff (5/10)
image showing scalability of orthology inference tools on large datasets
lauriebelch.bsky.social
Our trick: run OrthoFinder on a small subset of species first

Next, we sample representative sequences from each orthogroup to build profiles

Genes from new species are then matched to these profiles to assign them to orthogroups

We avoid the costly all-vs-all step that kills scalability (4/10)
lauriebelch.bsky.social
Most tools rely on all-versus-all comparisons between species

This becomes painfully slow as datasets grow

We needed a better way (3/10)
lauriebelch.bsky.social
Millions of species are being sequenced

That’s a huge opportunity, but also a major challenge
How can we ramp up scalability without compromising accuracy?

That’s exactly what we set out to solve in this update (2/10)
lauriebelch.bsky.social
OrthoFinder just dropped a major update

It’s faster, more accurate, and ready for thousands of genomes

Let’s break it down (1/10)

github.com/OrthoFinder/...
www.biorxiv.org/content/10.1...
lauriebelch.bsky.social
I'll do the top row!

Buff tip, peach blossom, brimstone!
lauriebelch.bsky.social
Evolution of cooperation is well represented at #Microbio25 by Rosie's first ever conference poster - definitely worth a visit!
rosierand.bsky.social
Very excited to be in Liverpool for #Microbio25 ! I'll be presenting a poster on bacterial cooperation and antibiotic resistance in Block A on Tuesday. Come and check out poster A098 to hear more! 🧬🧫🦠
Reposted by Laurie Belcher
jpjhall.bsky.social
I'm delighted to announce that the 2025 @microbiologysociety.org meeting on "Understanding and predicting microbial evolutionary dynamics" will be held in Liverpool 26-27 November 2025! Abstract submission will open soon... #microsky 🧪🧫🦠 microbiologysociety.org/event/societ...
Understanding and predicting microbial evolutionary dynamics - 2025 meeting
microbiologysociety.org
lauriebelch.bsky.social
Hopefully this will be useful for anyone doing comparative genomics! In Box 1 we show some case studies where controlling for phylogenetic non-independance can reverse a result
annadewar.bsky.social
Our review is out in Nature Reviews Genetics! rdcu.be/d5AY2

We show how phylogeny-based methods can resolve the problem of non-independence in genomic datasets.

These methods must be considered an essential part of the comparative genomics toolkit.

@lauriebelch.bsky.social @stuwest.bsky.social
A phylogenetic approach to comparative genomics
Nature Reviews Genetics - Controlling for phylogeny is essential in comparative genomics studies, because species, genomes and genes are not independent data points within statistical tests. The...
rdcu.be
Reposted by Laurie Belcher
annadewar.bsky.social
Our review is out in Nature Reviews Genetics! rdcu.be/d5AY2

We show how phylogeny-based methods can resolve the problem of non-independence in genomic datasets.

These methods must be considered an essential part of the comparative genomics toolkit.

@lauriebelch.bsky.social @stuwest.bsky.social
A phylogenetic approach to comparative genomics
Nature Reviews Genetics - Controlling for phylogeny is essential in comparative genomics studies, because species, genomes and genes are not independent data points within statistical tests. The...
rdcu.be
Reposted by Laurie Belcher
rachelmwheatley.bsky.social
Sharing three fully funded PhD opportunities to join my lab at Queen’s to work on topics spanning bacterial pathogens, antibiotic resistance, microbial interactions, & mobile genetic elements 🦠. Closing dates in January and February, and open to international candidates 🌍 Projects detailed below ⬇️
lauriebelch.bsky.social
When you are a millenial but you want to connect with your students
a slide from a powerpoint presentation that reads "Genes? Total ✨pick-me✨ energy. They’re out here being selfish AF, chasing their own clout, even if it wrecks the whole genome vibe 💀. If they get too bold (like distorting phenotypes and being ✨that✨ guy), the ‘parliament of genes’ 👩‍⚖️ pulls up like, “Not on my watch, bestie,” and shuts it all the way down. 🚨
Basically, selfish genes either: 1️⃣ cause low-key drama 😬, or 2️⃣ get cancelled harder than a mid influencer scandal. The parliament? Straight-up GOAT 🐐 for keeping our genomes from turning into a hot mess express."
Reposted by Laurie Belcher
epcrocha.bsky.social
New job offer: we search a postdoc (bioinformatics) to work on mobile genetic elements and gene flow in bacteria, with a focus on antibiotic resistance within a consortium including bioinformatics, synthetic biology, epidemiology & biochemistry. See research.pasteur.fr/en/job/postd... #MicroSky
lauriebelch.bsky.social
Post a photo of yourself from a different era.

Piazza San Marco, Venice
A young boy with a pigeon on his head
lauriebelch.bsky.social
go.bsky.app/QKajPgc
A starter pack for social evolution! Lots of space left for anyone who would like to be added
lauriebelch.bsky.social
Yep! Will also sadly not be going this year due to no option to go for two days. Hopefully there are more of the smaller meetings, like the evolutionary dynamics one in Manchester a few years ago
Reposted by Laurie Belcher
mikeblazanin.bsky.social
Tried to put together a Microbial Evolution starter pack, but there were so many great people I didn't want to leave out it turned into 3 starter packs

Comment or DM me if you were missed or would like to be added!

A thread (1/3)

go.bsky.app/6pkuYhi