Paschalis Agapitos
@paschalisag.bsky.social
16 followers 22 following 2 posts
Pre-Doctoral Researcher in Donostia International Physics Center. Working on computational humanities where I merge computational linguistics and network data science in order to study the network of Wikipedia.
Posts Media Videos Starter Packs
paschalisag.bsky.social
New paper alert: WikiTextGraph – an open-source Python package for extracting the text and building multilingual Wikipedia link networks.

With: @gustavoschwartz.bsky.social , Juan Luis Suárez

Paper: openresearchsoftware.metajnl.com/articles/10....

@wikiresearch.bsky.social #wikipedia #software
The Graphic User Interface of WikiTextGraph
paschalisag.bsky.social
Curious about how Wikipedia can help us quantitatively map and analyze historical cultural networks, uncovering hidden interactions among art, science, and philosophy of the 17th century?
Check our paper: www.nature.com/articles/s41...

#digitalhumanities #wikipedia #HSScomms #culturaldataanalytics
Wikipedia as a cultural lens: a quantitative approach for exploring cultural networks - Humanities and Social Sciences Communications
Humanities and Social Sciences Communications - Wikipedia as a cultural lens: a quantitative approach for exploring cultural networks
www.nature.com
Reposted by Paschalis Agapitos
christof.fedihum.org.ap.brid.gy
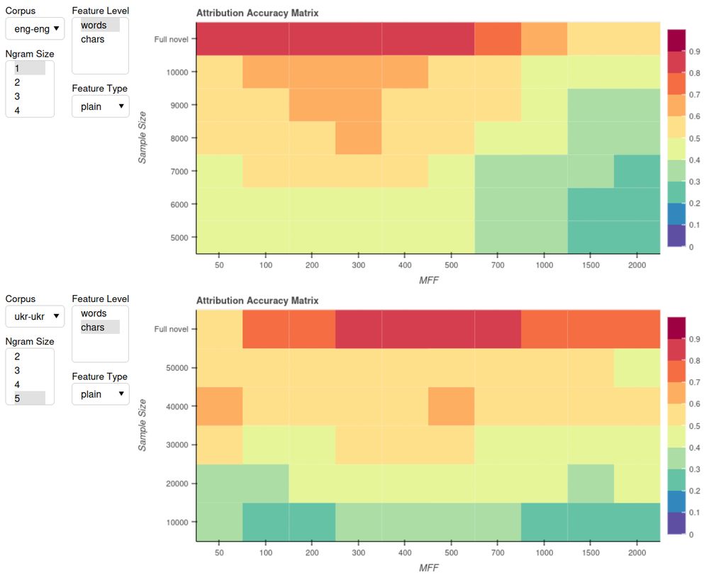
Later today at #chr2024, we are going to present our work on #multilingual #stylometry!

We isolated the influence of #language on #authorship #attribution #accuracy by translating multiple #corpora into each others' languages while keeping #Corpus composition […]

[Original post on fedihum.org]
Two colorful heatmaps, in hues of blue, yellow and red; one above the other; with various dropdown lists on the left to vary parameters.
Reposted by Paschalis Agapitos
jcls-io.bsky.social
This week, we announce the seventh article from JCLS 3 (1): Agapitos and van Cranenburgh "A Stylometric Analysis of Seneca's Disputed Plays" (10.48694/jcls.3919). Check it out at: jcls.io/issue/109/in... #ComputationalLiteraryStudies #CLS #JCLS #DigitalHumanities #CCLS24
Journal of Computational Literary Studies | Issue: Issue: 1(3) (2024)
jcls.io