Jem Arnold
@jemarnold.bsky.social
580 followers 350 following 300 posts
PhD candidate & physiotherapist | 🩸Iliac artery endofibrosis / FLIA | Endurance testing & NIRS. Treat declarative statements as questions?
Posts Media Videos Starter Packs
Pinned
jemarnold.bsky.social
Recently published from my (eventual) PhD thesis 📚📑

Review of conservative treatment (CTx) for Flow Limitations in the Iliac Arteries (FLIA, endofibrosis) and proposal of Return to Sport (RTS) guidelines after surgery

Here is what we learned🧵👇/14
(full PDF link at end of thread)
Conservative Management and Postoperative Return to Sport in Endurance Athletes with Flow Limitations in the Iliac Arteries: A Scoping Review - Sports Medicine
Background Flow limitations in the iliac arteries (FLIA) is a sport-related vascular condition increasingly recognised as an occupational risk for professional cyclists and other endurance athletes. S...
link.springer.com
jemarnold.bsky.social
You should be able to write out "Ctrl+Shift+." elsewhere and right-click paste into the shortcut editor.

I was getting the same annoyance with "Ctrl+Shift+3" appearing as "+#"
jemarnold.bsky.social
Thanks, you just gave me flashbacks of having the same feelings when I played it. Nostalgia with extra -algia 🥲

Very similar feeling to actually scuba diving IMO. The part about gradually getting more confident more than the part about staying on top of survival
jemarnold.bsky.social
Seems to be working. Looks like a better solution, thanks!
jemarnold.bsky.social
Oh great, thanks! Maybe this is the sign to look for a better method to preview final plot sizing than the camcorder hack 😅
jemarnold.bsky.social
Is it just me, or did {ggplot2} 4.0.0 S7 update break {camcorder}? 😢
#rstats #dataviz
nrennie.bsky.social
The making of this week's #TidyTuesday plot recorded with {camcorder} in #RStats 📊📹
jemarnold.bsky.social
Agreed. Metadata compliments data interpretation

(can we call things like effort/intention, environmental context, etc. as 'metadata'?)
jemarnold.bsky.social
Oh they did at least propose updated estimates by performance level in a subsequent paper
dx.doi.org/10.1055/a-20...
jemarnold.bsky.social
At least they used the 5-min clearing effort before the 20-min TT? 😅
jemarnold.bsky.social
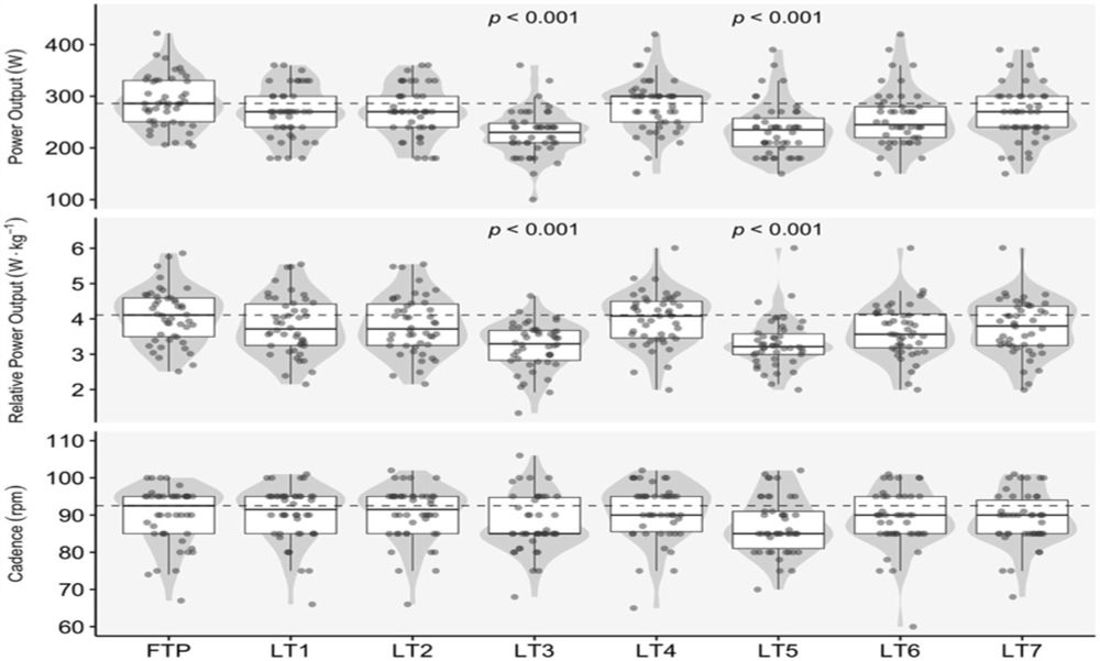
Saw a question "what %FTP should my first threshold be at?"

How do we begin to guess? Start with a prediction interval, not a falsely precise point estimate

Data from Sitko et al 2022 helps as a starting estimate (link below 👇)

Any similar datasets? (particularly for female cyclists?)
 A boxplot with individual data for FTP (functional threshold power) and LT1 (power at 2.0 mmol/L) in relative power output (W/kg) from 46 competitive male cyclists. LT1 range equals approximately 61-90% FTP, evaluating by rank order across both measures, since paired individual scores are not known. Data digitised from Sitko et al, 2022. Functional Threshold Power as an Alternative to Lactate Thresholds in Road Cycling. https://doi.org/10.1519/jsc.0000000000004070
jemarnold.bsky.social
aaah, so that's why every year I briefly look around at modern mobos but end up sticking with my 10 yr old Asus with onboard optical to drive my 20 yr old Logitech Z-5500s😅
jemarnold.bsky.social
This is really, really good 👀
Model Training and Specification The mean function demonstrated the nonlinear compound curve commonly observed in the MMP data (Figure 1). FPC1 accounted for 79% of the variance and was interpreted as a gain function signifying overall performance (Figure 2, FPC1) as it had the effect of shifting the entire curve up or down. FPC2 accounted for 15% of the variance and was interpreted as a sprint versus endurance bias (Figure 2, FPC2) as it had opposite effects on the curve at short versus long durations. FPC3 accounted for 3% of the variance and was interpreted as a “middle distance” bias (Figure 2, FPC3) as it had opposite effects on the middle durations versus both a short and long durations. It produced right–left shifts in the steep portion of the curve similar to W′. FPC4 accounted for 1% of the variance and lacked a clear interpretation (Figure 2, FPC4). The first 3 FPCs were retained in the F3 model as they were interpretable and represented 97% of the data variance.
jemarnold.bsky.social
Really interested in learning about this. Way above my pay grade though 😅
Reposted by Jem Arnold
captain7bag.bsky.social
New paper with @drphilipskiba.bsky.social is now out: journals.humankinetics.com/view/journal...

We took a new approach to modeling the power duration curve in cyclists using functional principal component analysis.
journals.humankinetics.com
jemarnold.bsky.social
Matthews et al, 2023. Identification of Maximal Steady State Metabolic Rate by the Change in Muscle Oxygen Saturation journals.physiology.org/doi/full/10....
jemarnold.bsky.social
Kirby et al 2021. The balance of muscle oxygen supply and demand reveals critical metabolic rate and predicts time to exhaustion journals.physiology.org/doi/full/10....
jemarnold.bsky.social
Faith Kipyegon & Dr. Brett Kirby using MoxyMonitor #muscleoxygenation #NIRS during training for her 4-min mile attempt coming up now!

They have published how they might be using this information (see links below 👇)

From their promotional bit a few minutes ago
Reposted by Jem Arnold
jemarnold.bsky.social
I had the opportunity to contribute to Matt de Neef's wonderful article on iliac artery endofibrosis/FLIA in cyclists

Mostly by knowing where to find the great published diagnostic images, and adding some knowledge we've gained from my recent PhD work on screening and conservative management👇
jemarnold.bsky.social
More on conservative management and return to sport guidelines after surgery
jemarnold.bsky.social
Recently published from my (eventual) PhD thesis 📚📑

Review of conservative treatment (CTx) for Flow Limitations in the Iliac Arteries (FLIA, endofibrosis) and proposal of Return to Sport (RTS) guidelines after surgery

Here is what we learned🧵👇/14
(full PDF link at end of thread)
Conservative Management and Postoperative Return to Sport in Endurance Athletes with Flow Limitations in the Iliac Arteries: A Scoping Review - Sports Medicine
Background Flow limitations in the iliac arteries (FLIA) is a sport-related vascular condition increasingly recognised as an occupational risk for professional cyclists and other endurance athletes. S...
link.springer.com
jemarnold.bsky.social
I had the opportunity to contribute to Matt de Neef's wonderful article on iliac artery endofibrosis/FLIA in cyclists

Mostly by knowing where to find the great published diagnostic images, and adding some knowledge we've gained from my recent PhD work on screening and conservative management👇
Reposted by Jem Arnold
captain7bag.bsky.social
This is a really elegant design/result.
jemarnold.bsky.social
To find COT, knee extension max reps were compared in 'free flow' and with external cuff occlusion

At loads below COT, reps increased exponentially in free-flow conditions, compared to cuff-occluded

At loads above COT, there were no differences between occluded & free-flow 3/
Figure showing number of repetitions for knee extensions at various loads percent of one rep max (1RM) for untrained (UT), endurance trained (ET), and resistance trained (RT) participants. Where reps and total work performed increases exponentially at lower loads in free-flow condition, up to a ceiling at 300 reps (20 minutes of continuous knee extension exercise). While reps and total work linearly increase only up to around 50 reps under cuff-occluded condition, where an external occlusion cuff is inflated during exercise, stopping the inflow of blood.
jemarnold.bsky.social
Thoughts about running? Will propulsion phase be above the critical occlusion tension in locomotor muscles? During sprints? Middle-distance? Marathon??

I'd expect it probably is in gastroc at least, based on how mNIRS deoxygenates during incremental running in many athletes 🤔
Figure showing muscle near-infrared spectroscopy on the gastrocnemius (calf) and quadricep muscle during an incremental treadmill running protocol, where gradient was increased at a constant pace. Gastroc muscle deoxygenates at the walk-run transition to a plateau, which is maintained for the remaining approx. 10 minutes of the incremental test. While quad deoxygenates linearly in proportion to the increasing exercise intensity. Suggesting different patterns of perfusion-extraction mismatch in the two different locomotor muscles.
jemarnold.bsky.social
Figure 3D shows total work kJ is basically constant across loads under cuff occlusion, supporting W'bal model

Apart from 80%1RM, in which reps were low enough that a missing fractional last rep would meaningfully reduce total work

@matthewfliss.bsky.social any more thoughts on this?
jemarnold.bsky.social
Oh good thoughts, thanks Cap. Something like that seems likely given motor unit recruitment with fatigue. Would larger MUs recruited at lower forces lower effective COT during a prolonged task?