Jonas Schöley
@jschoeley.com
950 followers 380 following 120 posts
jschoeley.com • Demographer @mpidr.bsky.social Perinatal Demography • Mortality • Uncertainty • Dataviz
Posts Media Videos Starter Packs
Pinned
jschoeley.com
Everything in mortality is a tempo effect.

Let me walk you through my recent work on "A convolution formulation of mortality displacement" a.k.a. "Lifetime lost from time series of counts", last shown at Nordic Demographic Symposium. Happy to give invited talks.

www.jschoeley.com/events/2025-...
Reposted by Jonas Schöley
jschoeley.com
All models are true, some predict your data.

This is where I stand after reifying "mortality laws", reifying mechanistic models, trying to have data without models, and reading Thomas Burch. I was honored to reflect on this journey in my keynote to the Evolutionary Demography Society.
Gompertz in early life or my on-off-on relationship with Vaupelian modeling
www.jschoeley.com
Reposted by Jonas Schöley
rebeccasear.bsky.social
More evidence about how disparate but influential groups - “self-described Classical Liberals, evangelists of free-market capitalism, ethnonationalists, atheists & conservative theologians” - are converging on far-right views & promoting a return to an “era that was colonial, Christian, patriarchal”
huwcdavies.bsky.social
My new article. It was very difficult to make sense of this community’s ideology & contain my analysis in 8k - could easily be a book. Historians could do a much better job of the history. But important to try as these are the backers of GBNews & The Spectator. journals.sagepub.com/doi/10.1177/...
‘A great awakening of men of action’: What does the ‘right-wing Davos’ represent? - Huw Crighton Davies, 2025
The Financial Times called the Alliance for Responsible Citizenship’s 2025 conference the ‘right-wing Davos’. The Alliance involves academics from elite univers...
journals.sagepub.com
jschoeley.com
It all started here in an attempt to clearly define the inputs and outputs of each file (collaboration with me having to integrate the code): github.com/jschoeley/ex...
GitHub - jschoeley/ex2021
Contribute to jschoeley/ex2021 development by creating an account on GitHub.
github.com
jschoeley.com
Sometime around 2021 something broke in me and I started using lists extensively. Lists of lists. Each plot, a list with plot config, grid object, and plot data... No one writes R like that.
jschoeley.com
If I'm the sole contributor, I nuke a months old git repository and git init instead of fixing whatever made it break.
jschoeley.com
I remember your reaction: "You do that bullshit, too?!?" I since stopped. Now I have the habit of putting in a new line after assignment.
jschoeley.com
Just saw this academic title. It's like every word tries to undo the one before.

"Senior Lecturer, advanced assistant professor"
jschoeley.com
Sigh... another academic project website turned into an advert for online gambling. Give me 90s html not updated in decades over this anyday.
jschoeley.com
Love the style of this paper. The "nativist argument" has been excluded from this list though, which has seen a massive popularization in the last decade by the populist right. One may argue it's not part of academic discourse, but it sure is part of political discourse on low fertility.
demresjournal.bsky.social
Should we be concerned about low fertility? Øystein Kravdal discusses six possible arguments in this reflection: www.demographic-research.org/articles/vol...
Reposted by Jonas Schöley
ezagheni.bsky.social
Consider joining us in beautiful Bologna for the largest gathering of population scientists in Europe…

It is also a wonderful opportunity for those of us who are based outside of Europe to catch up with the latest demographic developments in the old continent.

Hope to see you there!
eaps.bsky.social
📢 Call for submissions for European Population Conference 2026 (3–6 June, Bologna) is open! Organized by EAPS & University of Bologna.

💡 More information: www.eaps.nl/epc/european...
EAPS.nl | European Population Conference 2026
EAPS.nl
www.eaps.nl
Reposted by Jonas Schöley
cosmostrozza.bsky.social
Health demographers 📣
Calling for submissions to our w. @timriffe1.bsky.social
Healthy Life Expectancy methodology collection on @genus.bsky.social! We're seeking innovative approaches to statistical modelling and empirical analysis of health inequalities 📈
📆 Submission deadline: 01/06/26
🔗 Link 👇
Healthy Life Expectancy: New Methods, New Insights
As countries worldwide experience population aging, understanding not just how long people live, but how many of those years are spent in good health, has ...
link.springer.com
jschoeley.com
Very nice details in this well thought out observation-expectaion plot. The color gradient declutters the graph by de-emphasizing deviations close to the expectation. Having the deviations as a filled area "integrates" them over time (which would make a lot of sense for excess/deficit deaths).
neilrkaye.bsky.social
Here in the UK, following the warmest Spring on record we have now had the warmest summer of record, with the UK mean breaking 16°C for the first time. It has been sunnier than usual and dry. Here is the climate/weather summary for the past year #dataviz #globalwarming #climatchange.
jschoeley.com
@mpidr.bsky.social Phd student José Andrade hit hacker news front page with a piece on stalling cohort life expectancy with coauthors Carlo Giovanni Camarda & Héctor Pifarré i Arola. news.ycombinator.com/item?id=4507...
New research reveals longevity gains slowing, life expectancy of 100 unlikely | Hacker News
news.ycombinator.com
jschoeley.com
I'll be there.
hggaddy.bsky.social
📢 Interested in excess mortality methods, and want a challenge? I'm organising the "One Epidemic, Many Estimates" (1EME) project! Register *now* as a many analyst team (submissions due 15 March 2026), and then join us at LSE for a workshop on 21-22 May 2026! (1/n)

www.lse.ac.uk/Economic-His...
One Epidemic, Many Estimates (1EME)
One Epidemic, Many Estimates (1EME)
www.lse.ac.uk
jschoeley.com
This gives me the same vibes as the lifespan prolongation nerds. It's the same statistically illiterate desire for control, blissfully ignoring the huge unexplained variance in the traits they wish to optimize.
Reposted by Jonas Schöley
rebeccasear.bsky.social
“With the ending of USAID support in February 2025, ICF has secured interim funding for continuing selected, but not all, Demographic and Health Survey Program services. Several donors and host countries are funding the completion of selected surveys”

www.dhsprogram.com/Who-we-are/N...
The DHS Program - News about the DHS Program
www.dhsprogram.com
Reposted by Jonas Schöley
phbocquier.bsky.social
Very pedagogical thread! Thank you!
jschoeley.com
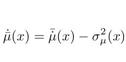
The Vaupel-Zhang equality features in my recent publication on mortality selection and convergence in neonatal mortality. JimV mentioned that he'd like this equation inscribed on his tombstone. It's a super general consequence of unobserved heterogeneous mortality, his speciality. Let me show you:
jschoeley.com
Surprisingly, mortality selection only plays a minor role in explaining the rapid drop in the risk of death following birth. Even within relatively homogeneous subgroups, mortality changes rapidly with age, suggesting an intrinsically dangerous transition period following birth.
jschoeley.com
I estimated the changing distribution of mortality risk over the first year of life which has a massive right tail, so the average risk of death is a really bad estimator for the typical risk of death at any point in time. Should be enough heterogeneity for mortality selection...
jschoeley.com
To make this calculation I needed to have a reasonable estimate for the variability of mortality at various stages throughout infancy. So I estimated that using birthweight, APGAR score and gestation at birth as predictors, getting a discrete mixture distribution over >200 strata.
jschoeley.com
In my neonatal mortality paper I applied the Vaupel-Zhang equality to quantify how much the apparent change in the risk of death over the first days of life is merely mortality selection, and how much is due to actual changing risks in population subgroups.
jschoeley.com
Thus, if both the population hazard and the average individual hazards are declining over age, one can use the equality to state the share of population level decline induced by the third term: heterogeneity in risk leading to mortality selection.
jschoeley.com
The left side of the equation is how steeply the risk of death changes at age x for the whole population. It is equal to the average individual level change in the risk of death at that age minus the heterogeneity/variance of the risks of death across the population at that age.