Alex Best
@bestieboy.bsky.social
770 followers 210 following 42 posts
Maths lecturer, disease modeller, EDI empowerer, amateur percussion player, very amateur baseball player.
Posts Media Videos Starter Packs
bestieboy.bsky.social
As a mathematician it’s not often you get a field trip, but today’s office was a definite improvement. First day of a collaboration with colleagues @forestresearchuk.bsky.social and been wandering round trees discussing disease spread.
bestieboy.bsky.social
As a former J visa holder, solidarity to all the students, postdocs and researchers suddenly finding themselves cut adrift.
bestieboy.bsky.social
Out on strike today. Didn’t make it to the @sheffielducu.bsky.social pickets as taking child to hospital (all fine) but looks like great turnouts as ever. Asking for a time-limited ruling out of compulsory redundancies really seems like a small ask, and yet here we are.
sheffielducu.bsky.social
Our members out in force today! 👊
Picket line outside the Jessop west building in the sunshine Picket line outside the geography and planning building in the sunshine Picket line outside the arts tower in the sunshine Picket line outside firth court in the sunshine
bestieboy.bsky.social
The cover of Help after it's been put through the abstract thought machine in Inside Out.
Reposted by Alex Best
nikcunniffe.bsky.social
Fully funded PhD project (UK applicants only) "Developing strategies for the control of ergot on-farm" #planthealth #plantpathology at @niab-uk.bsky.social and @camplantsci.bsky.social www.plantsci.cam.ac.uk/postgraduate... Note the short deadline. @bspp.bsky.social
bestieboy.bsky.social
I've known about this a little while now but was v nervous about tempting fate before everything had got the sign off!
bestieboy.bsky.social
V happy to announce my 1st grant in a looong time! "Integrating spatial structure & seasonality into forest disease models" (EPSRC small grant). I'll spend 12 mths modelling disease spread through forest pops, incl working with @forestresearchuk.bsky.social to specifically model Dothistroma in pines
An image representing disease spread through a stand of trees. Image shows a 15x17 grid of cells. The bottom row are all black. The other cells are a mix of red and blue, with a trend of red cells towards the bottom and blue towards the top. Title of 'Month 55'. Photo of a field of small pine trees. Trees are planted in clear lines. Small strip of sky at the top.
bestieboy.bsky.social
On a related note, I wonder what the record is for papers published and still not promoted from L to SL? I suspect I'm getting close.
bestieboy.bsky.social
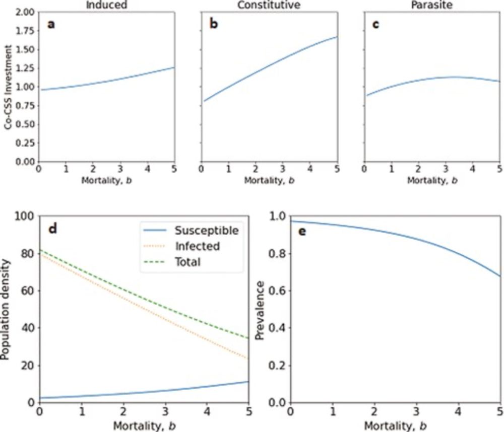
Pleased to see our paper out on modelling how host-parasite coevolution might play out if the host can itself simultaneously evolve constitutive and induced defences. This project came out of a side conversation during my Fulbright scholarship (y'know, back when those weren't being slashed...)
jevbio.bsky.social
Host defence to parasites can be constitutive (always present) or induced (only activated after infection). How do these coevolve with each other and also with parasite growth? @bestieboy.bsky.social, Sarah Guth and Mike Boots investigated using theoretical models:

academic.oup.com/jeb/advance-...
bestieboy.bsky.social
Pleased to see our paper out on modelling how host-parasite coevolution might play out if the host can itself simultaneously evolve constitutive and induced defences. This project came out of a side conversation during my Fulbright scholarship (y'know, back when those weren't being slashed...)
Reposted by Alex Best
kayla-king.bsky.social
Come join us at beautiful UBC! The King Lab is recruiting a Post-doc Fellow to develop mathematical theory on infectious disease evolution and emergence, together with Ben Ashby (SFU) #zoonoses #biodiversity www.zoology.ubc.ca/kinglab/join...
Join Us! | King Lab
Are you interested in joining the King Lab? More information here!
www.zoology.ubc.ca
bestieboy.bsky.social
It gives me a lot of joy to see this paper. I am not an author and it does not cite me. But the lead author was part of my first ever group of undergraduate tutees. To have seen Abby all the way through her undergrad and now publishing research - especially in my broad field - is something special.
bestieboy.bsky.social
Seeing this in the news reminded me how when Mrs B (then my girlfriend) first visited my family in Norfolk we said we’d go to Sea Palling for the day and she thought we were going to see some relative she’d not heard about called Pauline

www.theguardian.com/uk-news/2025...
Holiday home owners threaten decades-old way of life for Norfolk fishers
Incomers claim use of a field for storing boats is creating too much noise and district council has sided with them
www.theguardian.com
bestieboy.bsky.social
Really sorry to see this Flo. Some people are idiots. Solidarity.
bestieboy.bsky.social
Hard agree with this. I was lucky enough to just get my first research-focussed grant in 10 years. The thought that this could just be whisked away again on a whim by anonymous higher-ups is pretty awful. Full solidarity with all US colleagues going through this right now.
epiellie.bsky.social
It is *so* hard to get NIH funding.

I can’t imagine how awful it must feel to have finally gotten the grant that lets you do the meaningful research you want to do and then have it ripped away.
Reposted by Alex Best
carlbergstrom.com
1. For the past thirty years I've had the best job in the world.


I've had the opportunity to follow my curiosity; explore the workings of nature and society; mentor students and junior colleagues in the same process; and teach generations of students about it all.
bestieboy.bsky.social
In the last 3 weeks I have had 6 review requests. What is going on?
bestieboy.bsky.social
How are we mean to keep up with all this crazy shit. Or is that the whole plan?
bestieboy.bsky.social
Wow it's been an intense start to the year. Starting to level off now thankfully and will have bits of news to share shortly.

First update - it was the Yorkshire Area brass band contest at the weekend and we was robbed.
bestieboy.bsky.social
This goes against everything I've seen about good practice in HE teaching. Since many students have significant anxiety that would be aggravated by 'cold calling', we're encouraged to never do this. Plenty of ways to get good engagement without resorting to this I think.

Thoughts?
bestieboy.bsky.social
Eldest's high school are proudly sending out weekly summaries of their key teaching techniques. Last week was 'cold calling' - teachers will randomly choose students to answer questions and *all* students should expect to be called on. /1
bestieboy.bsky.social
How does your email find me? Wearing an oodie and a heated blanket, that's how.
bestieboy.bsky.social
A student actually came and shook my hand at today's last lecture of the semester. Where do I put that on my cv?
bestieboy.bsky.social
I hear some of you sometimes get grants. What’s that like then?
bestieboy.bsky.social
See (somewhere nearby) ball, hit ball

From memory this was a hit and an RBI so I'll take it
bestieboy.bsky.social
We're doing projectile motion today and I feel the students have suffered enough through the semester that they get to see an embarrassing picture of me as a visual aid
A man hitting a baseball, with a silly look on his face