Duty to Disobey
duty-to-disobey.bsky.social
Duty to Disobey
@duty-to-disobey.bsky.social
Military member who is fucking angry. We have a duty to disobey if orders are illegal, unethical, unconstitutional. #Resist #disobey #maliciouscompliance
Here comes the #maliciouscompliance for #military. I would like to point out the definition of Sex in the DoD policy relies on the full definition of sex from the executive order. Now, the policy doesn't include the definition for male and female. I suspect that's for a couple of different reasons.
March 8, 2025 at 5:53 PM
March 8, 2025 at 5:39 PM
March 8, 2025 at 5:39 PM
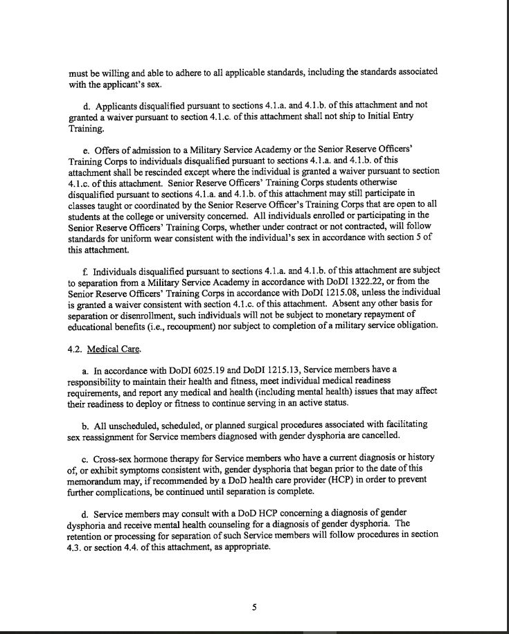
The full DoD policy released for #transgender #military members.
March 8, 2025 at 5:39 PM
The military doesn't actively track #transgender service members, and are directed not to try to identify any UNTIL MARCH 26. They want them to self identify by voluntarily separating (which has more benefits then involuntary separation). It feels like a trap, honestly. This whole thing.
March 8, 2025 at 5:34 PM
The template they want commanders to use for #transgender members who want to voluntarily separate. This just makes me uncomfortable. "Further medical verification...is forthcoming."
March 8, 2025 at 5:31 PM
The guidance for #transgender voluntary separation. Throughout this and the policy released, which I will share, I have to question what they mean by "exhibits symptoms consistent with gender dysphoria". If there isn't a diagnosis, who determines those symptoms in this case? A commander?
March 8, 2025 at 5:28 PM
March 8, 2025 at 5:08 PM
March 8, 2025 at 5:08 PM
March 8, 2025 at 5:08 PM
This is such a waste of time and money. These places have better things to be doing that preparing for these visits.
March 8, 2025 at 5:08 PM
March 8, 2025 at 5:08 PM
Guidance for the "Restore America's Fighting Force" taskforce and the areas they will be looking at.
March 8, 2025 at 5:03 PM