Ludger Woessmann
@woessmann.bsky.social
3.9K followers 620 following 220 posts

Professor of Economics, University of Munich Director, ifo Center for the Economics of Education https://sites.google.com/view/woessmann-e

Ludger Wößmann is a German economist and professor of economics at the Ludwig Maximilian University of Munich (LMU). Moreover, being one of the world's foremost education economists, he is the director of the ifo Center for the Economics of Education at the ifo Institute. Beyond the economics of education, his research interests also include economic growth and economic history. In 2014, Wößmann's empirical research on the effects of education and his corresponding contribution to public debate were awarded the Gossen Prize, followed by the Gustav Stolper Prize in 2017. .. more

Education 44%
Economics 31%
Posts Media Videos Starter Packs
Pinned
woessmann.bsky.social
❓Why do the Nordics & Dutch speak English so much better than the Germans, Italians & French?

➡️ New Working Paper:

Out-of-School Learning: Subtitling vs. Dubbing and the Acquisition of Foreign-Language Skills
w/ F. Baumeister & E. Hanushek

www.nber.org/papers/w33984

A 🧵 1/12

woessmann.bsky.social
📢 FYI: 🆕 paper on religious education out in JHR: @tomdee.bsky.social ‪@kinnelavinia.bsky.social‬‬ ‪ @raphaelbrade.bsky.social @econmunich.bsky.social ‪@rationalitycrc.bsky.social‬ ‪@cesifo.org‬ @ifoeducation.bsky.social ‬‬‬‬‬‬‬‬‬‬‬‬‬‬‬‬‬

woessmann.bsky.social
➡️Content of school curriculum exerts lifetime influence on students

Even on inner attitudes + values such as religiosity

What you learn in school is for life, indeed‼️
6/6

woessmann.bsky.social
Effects beyond religion:

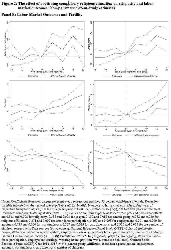
🧑‍🏭 Higher labor-market participation + earnings (consistent with shift towards worldly norms + economic activities) 🌎

👨‍👩‍👧‍👦 Reduced fertility

By contrast, no effects on ethical + political values or non-religious school outcomes
5/6

woessmann.bsky.social
👉 Reform abolishing compulsory religious education significantly reduced religiosity of affected students in adulthood

Similar reductions in specific religious actions:
1️⃣ personal act of prayer
2️⃣ public act of church-going
3️⃣ formal (+costly) act of church membership
4/6

woessmann.bsky.social
Two-way fixed effects model (state + cohort fixed effects) exploits staggered reform adoption:

Uses variation in abolishment of compulsory religious education across states + over time to study effects on outcomes in adulthood

3️⃣ datasets:
▶️ NEPS
▶️ ALLBUS
▶️ SOEP
3/6

woessmann.bsky.social
Unique German setting:

🏫 Religious education was compulsory in state schools: 1000 hours over school career (>4x physics)

Abolished in staggered reforms across states 1972-2004

Replaced by option to choose between religious education + non-denominational “ethics”
2/6
woessmann.bsky.social
🚨 Now out in Journal of Human Resources:

⛪️ Can Schools Change Religious Attitudes?
Evidence from German State Reforms of Compulsory Religious Education

w/ @benjaminarold.bsky.social & Larissa Zierow

👉 Religious education in school affects adult lives

🔗 jhr.uwpress.org/content/earl...

A 🧵 1/6

Reposted by Alberto Bisin

Reposted by Lars P. Feld

Reposted by Lars P. Feld

Reposted by Ludger Woessmann

ifoeducation.bsky.social
Check out the current edition of our newsletter.

Topics:
🔷What adolescents and adults think about social media
🔷Socioeconomic gap in child care
🔷Peers at college entry improve performance
...

👉http://sendlx.com/display.php?M=111124773&C=71415e53f9fcb9e9f5c8facfea005ae8&S=198827&L=2481&N=109616

Reposted by Ludger Woessmann

Reposted by Ludger Woessmann

woessmann.bsky.social
‪Junior workshop 📢 Please spread the word: @rationalitycrc.bsky.social ‪‬@cesifo.org @ifoeducation.bsky.social ‬‬‬‬‬‬‬‬‬‬‬‬‬‬‬‬‬

woessmann.bsky.social
📢 Call for papers:

🚀 4th CESifo Junior Workshop on the Economics of Education 🤩

30-31 March 2026, Munich

Keynote: Michela Carlana (Harvard)

PhD students & early postdocs, please apply!

www.ifo.de/en/cesifo/ev...

Deadline: 11 Jan 2026

@caterinapavese.bsky.social @mtotarelli.bsky.social

Reposted by Lars P. Feld

Reposted by Ludger Woessmann

iabnews.bsky.social
🌍 Haben oder Nichthaben: Chancengleichheit und sozialer Aufstieg 🔎 Eine aktuelle OECD-Studie wirft einen Blick auf die Frage, inwieweit wirtschaftliche Ungleichheit von Startbedingungen beeinflusst wird, die die Menschen nicht kontrollieren können. (1/3)

Reposted by Simon Wiederhold

woessmann.bsky.social
In Zeiten von ständigen Transformationen sollten wir Bildung als Befähigung zu stetigem Wandel verstehen.

Mein Einleitungsvortrag in das Bildungspolitische Forum 2025 des @leibnizbildung.bsky.social

Livestream: www.youtube.com/@Leibniz_bil...

www.leibniz-bildung.de/veranstaltun...

Reposted by Ludger Woessmann

Reposted by Ludger Woessmann

statistik.at
AVISO: Am 2. Oktober spricht Ludger Wößmann @woessmann.bsky.social​ im Rahmen einer Veranstaltungsreihe von ÖAW @oeaw.bsky.social​ und Statistik Austria über Bildung und Wohlstand.

​📅 02.10.2025
🕕 18.30 Uhr
🏢 ÖAW, Dr. Ignaz Seipel-Platz 2, 1010 Wien
ℹ️ https://bit.ly/42NUs1G